Предмет: Алгебра,
автор: n23967887
(-2)³=
помогите пожалуйста
Приложения:
Ответы
Автор ответа:
1
Ответ:
дай лучший ответ пж
Объяснение:
Приложения:
n23967887:
окей когда смогу тошда дам
Автор ответа:
1
Ответ:
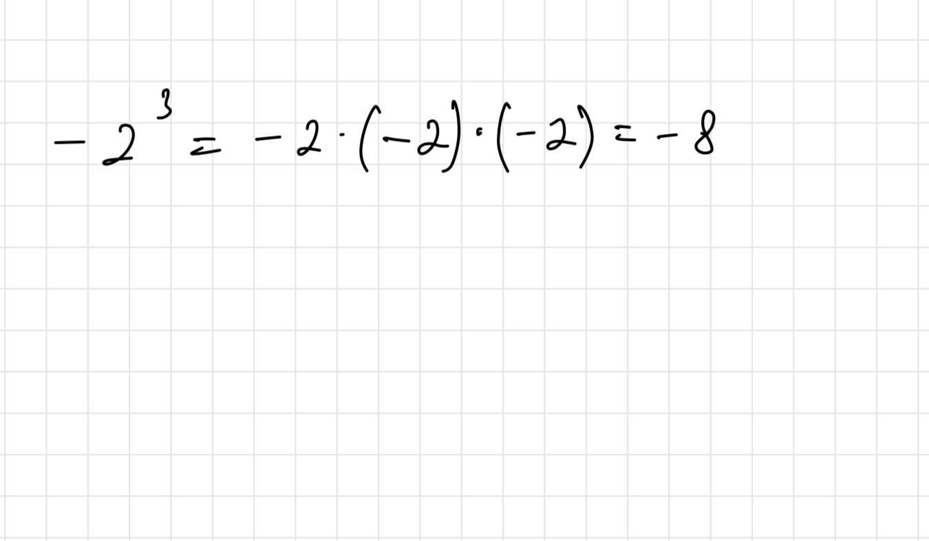
Б)-8
Объяснение:
- (-2)³
- определите знак выражения.
- -2³
- Представить в виде произведения.
- -(2×2×2)
- Вычислить.
- -8
Похожие вопросы
Предмет: Химия,
автор: katie4894
Предмет: Українська мова,
автор: axenyasha
Предмет: Геометрия,
автор: semasahverdiyev5
Предмет: Алгебра,
автор: turushevaalina186
Предмет: Русский язык,
автор: ekaterina45633i