Предмет: Физика,
автор: el837892
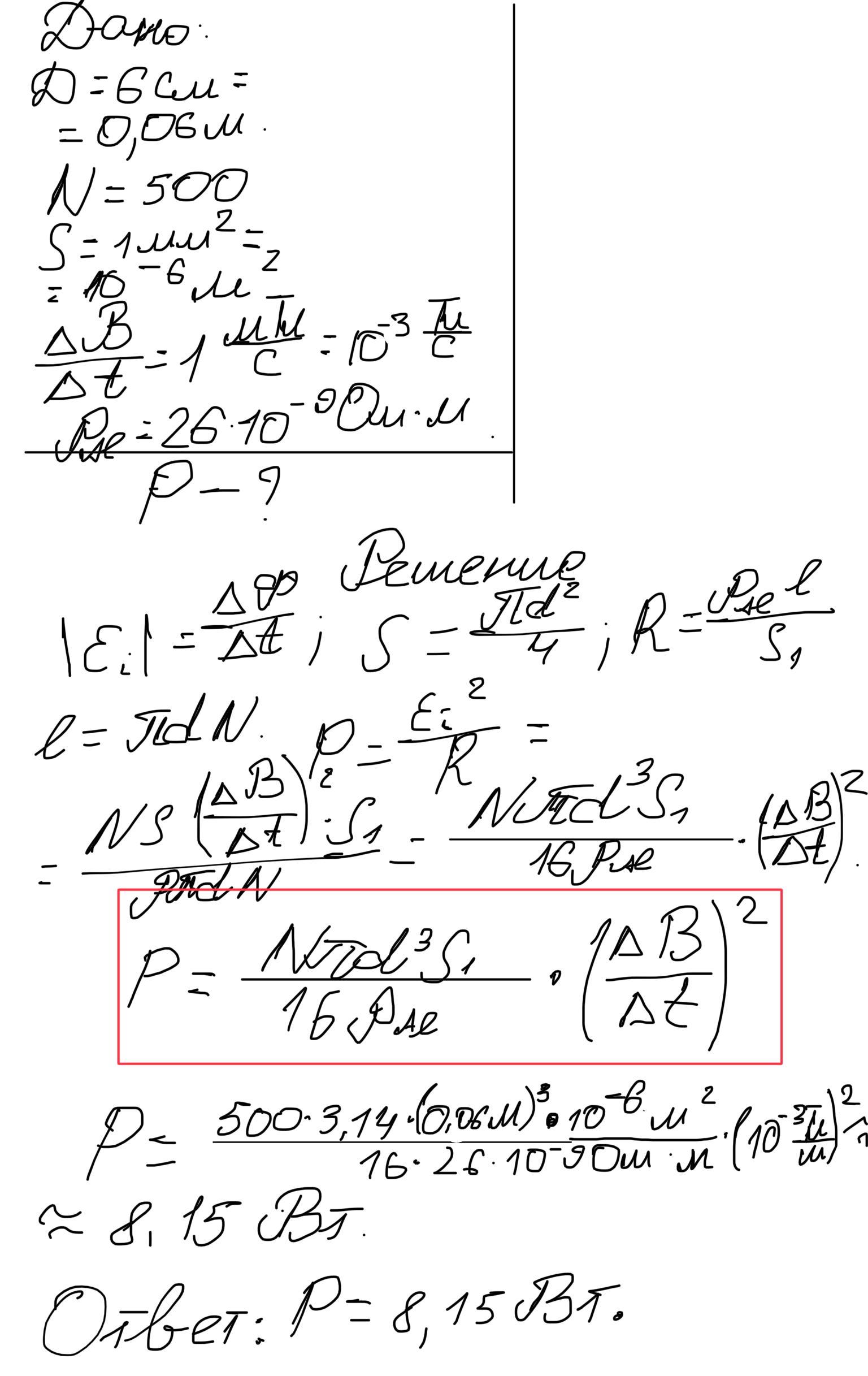
Котушка діаметром 6 см має 500 витків алюмінієвого дроту перерізом 1 мм 2 . Котушка
розташована в однорідному магнітному полі таким чином, що індукція поля напрямлена вздовж
осі котушки та рівномірно змінюється зі швидкістю 1 мТл/с. Кінці котушки замкнуті. Визначте
теплову потужність, що виділяється в котушці.
Ответы
Автор ответа:
3
Ответ:
Объяснение:
Здравствуйте, спасибо за задачу. В этой задаче нам нужно найти тепловую мощность. Давайте приступим к решению. Решение предоставлено на файле прикреплённом ниже. Расчёты были проведены на калькуляторе Casio fx-82ES PLUS. Ответ округлён до сотых.
С уважением, Владимир.
Приложения:
fizikyadershik68:
Здравствуйте, спасибо. С уважением, Владимир.
Похожие вопросы
Предмет: История,
автор: katya123957
Предмет: Литература,
автор: kirakarnaykhova12
Предмет: Другие предметы,
автор: kozoriz2202
Предмет: Алгебра,
автор: evilinasvon79
Предмет: Қазақ тiлi,
автор: kimt4156