Предмет: Алгебра,
автор: timurmuhamedganov
Срочно дам 10б
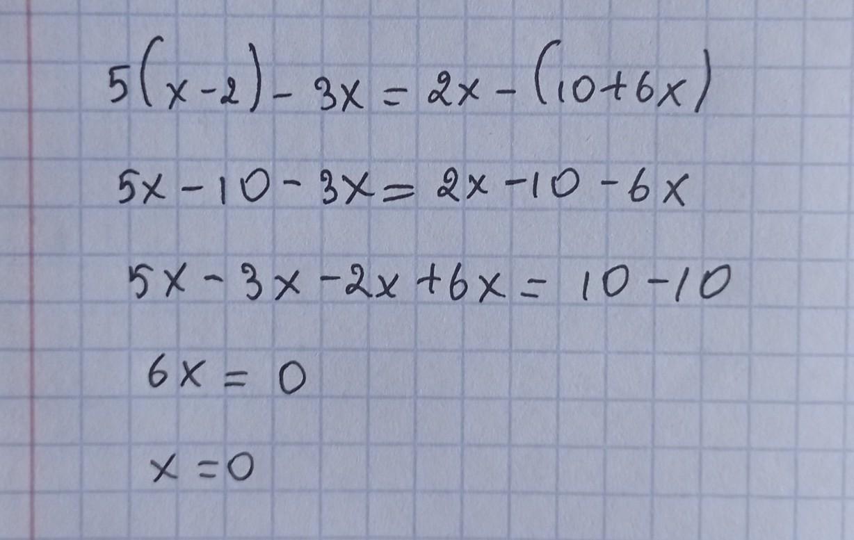
Розв'яжіть рівняння: 5(x-2)-3х=2х-(10 + 6х).
Ответы
Автор ответа:
2
Ответ:
Ответ на фото!!!!!!!!!!!!!!
Приложения:
Автор ответа:
1
Ответ:
0
Объяснение:
5(х - 2) - 3х = 2х - (10 + 6х)
5х - 10 - 3х = 2х - 10 - 6х
2х - 10 = -4х - 10
2х + 4х = -10 + 10
6х = 0
х = 0 : 6
х = 0
Похожие вопросы
Предмет: Физика,
автор: dencolomiets
Предмет: Математика,
автор: katyaolenicova
Предмет: Физика,
автор: goncarenkoo70
Предмет: Математика,
автор: sevastyanova01p68ulo