Предмет: Алгебра,
автор: baculadennis
ДОПОМОЖІТЬ! ДАЮ 30 БАЛІВ!
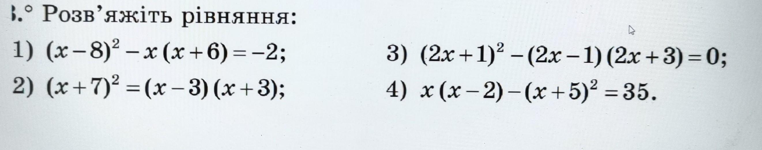
ЗАВДАННЯ НА ФОТО
Приложения:
Ответы
Автор ответа:
0
Ответ:
бъяснение:
1) (х-8)²-х(х+6)=-2
х²-16х+64-х²+6х+2=0
-10х+66=0
-10х=66
х=-6,6
2) (х+7)²=(х-3)(х+3)
х²+14х+49=х²-9
14х=-58
х=
3) (2х+1)²-(2х-1)(2х+3)=0
4х²+4х+1-4х²-6х+2х+3=0
4=0
х∈∅
4) х(х-2)-(х+5)²=35
х²-2х-х²-10х-25+35=0
-12х=-10
х=
Похожие вопросы
Предмет: Математика,
автор: dh26krfwbp
Предмет: Математика,
автор: vkvatinskij
Предмет: Физика,
автор: pozogamark
Предмет: Математика,
автор: valiyevaaminaa