Предмет: Алгебра, автор: sofii22091990

Допоможіть будь ласка :_)
11 КЛАС

Приложения:

Ответы

Автор ответа: Universalka
2

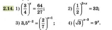
\displaystyle\bf\\1)\\\\\Big(\frac{3}{4} \Big)^{x} =\frac{64}{27} \\\\\\\Big(\frac{3}{4} \Big)^{x} =\Big(\frac{4}{3} \Big)^{3} \\\\\\\Big(\frac{3}{4} \Big)^{x} =\Big(\frac{3}{4} \Big)^{-3}\\\\\\\boxed{x=-3}\\\\2)\\\\\Big(\frac{1}{2} \Big)^{2+x} =32\\\\\\\Big(2\Big)^{-2-x} =2^{5} \\\\\\-2-x=5\\\\x=-2-5\\\\\boxed{x=-7}

\displaystyle\bf\\3)\\\\3,5^{x-2} =\Big(\frac{2}{7} \Big)^{x+1} \\\\\\\Big(\frac{7}{2} \Big)^{x-2} =\Big(\frac{2}{7} \Big)^{x+1}\\\\\\\Big(\frac{2}{7} \Big)^{2-x} =\Big(\frac{2}{7} \Big)^{x+1} \\\\\\2-x=x+1\\\\-x-x=1-2\\\\-2x=-1\\\\\boxed{x=0,5}\\\\4)\\\\\Big(\sqrt{3}  \Big)^{x-3} =9^{x} \\\\\\3^{0,5x-1,5} =3^{2x} \\\\\\0,5x-1,5=2x\\\\2x-0,5x=-1,5\\\\-1,5x=-1,5\\\\\boxed{x=1}


sofii22091990: Дякую
Похожие вопросы
Предмет: Английский язык, автор: artem56981
Предмет: Геометрия, автор: vindetavindeta566