Предмет: Алгебра,
автор: Ivankukolka
Помогите пожалуйста:
Представьте многочлен в виде суммы квадратов двух выражений.
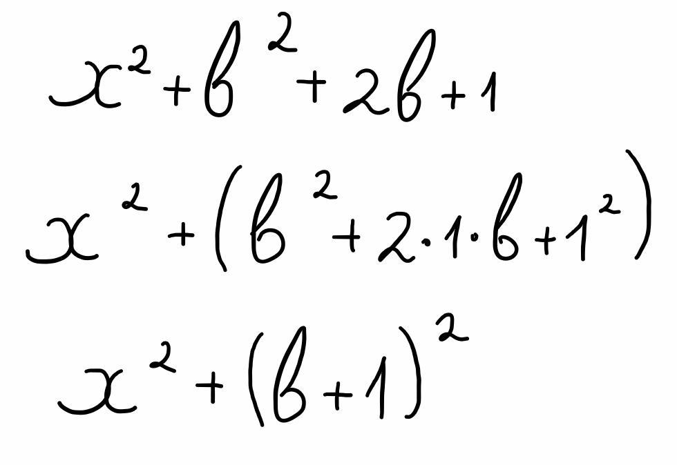
a) x²+b²+2b+1
hderyb:
x²+(b+1)²
Мне то объяснение нужно
Объяснения формулы полного квадрата? (a+b)²=a²+b²+2ab
Ответы
Автор ответа:
2
выражение в скобках "сворачиваем" по формуле (a+b)²=a²+2ab+b², удачи!!!!!!!!!!!!!!!!!!!
Приложения:
Спасибо, вам удачи :)
Похожие вопросы
Предмет: Українська література,
автор: karinkalubitotvetu
Предмет: Українська мова,
автор: Mihailik0808
Предмет: Алгебра,
автор: Lera89012
Предмет: Английский язык,
автор: zaferofficail