Предмет: Алгебра,
автор: Novaya22
срочно 100 баллов! решить уравнение! с подробным пошаговым решением!
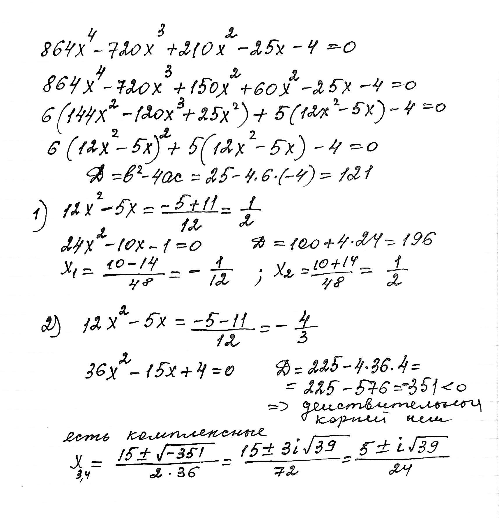
864x^4-720x^3+210x^2-25x-4=0
Ответы
Автор ответа:
3
Ответ:
Объяснение:
решение на фото
Приложения:
zanbolkobeev999:
411
смотрите у Владимира он дал очень простое и красивое решение.
Похожие вопросы
Предмет: Русский язык,
автор: jelizavetaorlova190
Предмет: Литература,
автор: artgut37
Предмет: Биология,
автор: rembowfbhejsbbf
Предмет: Математика,
автор: taniakrumka
Предмет: Математика,
автор: Анастасиюшечка