Предмет: Алгебра, автор: Аноним

Решите пожалуйста срочно нужно!!!

Приложения:

Ответы

Автор ответа: 7x8
0

Ответ:

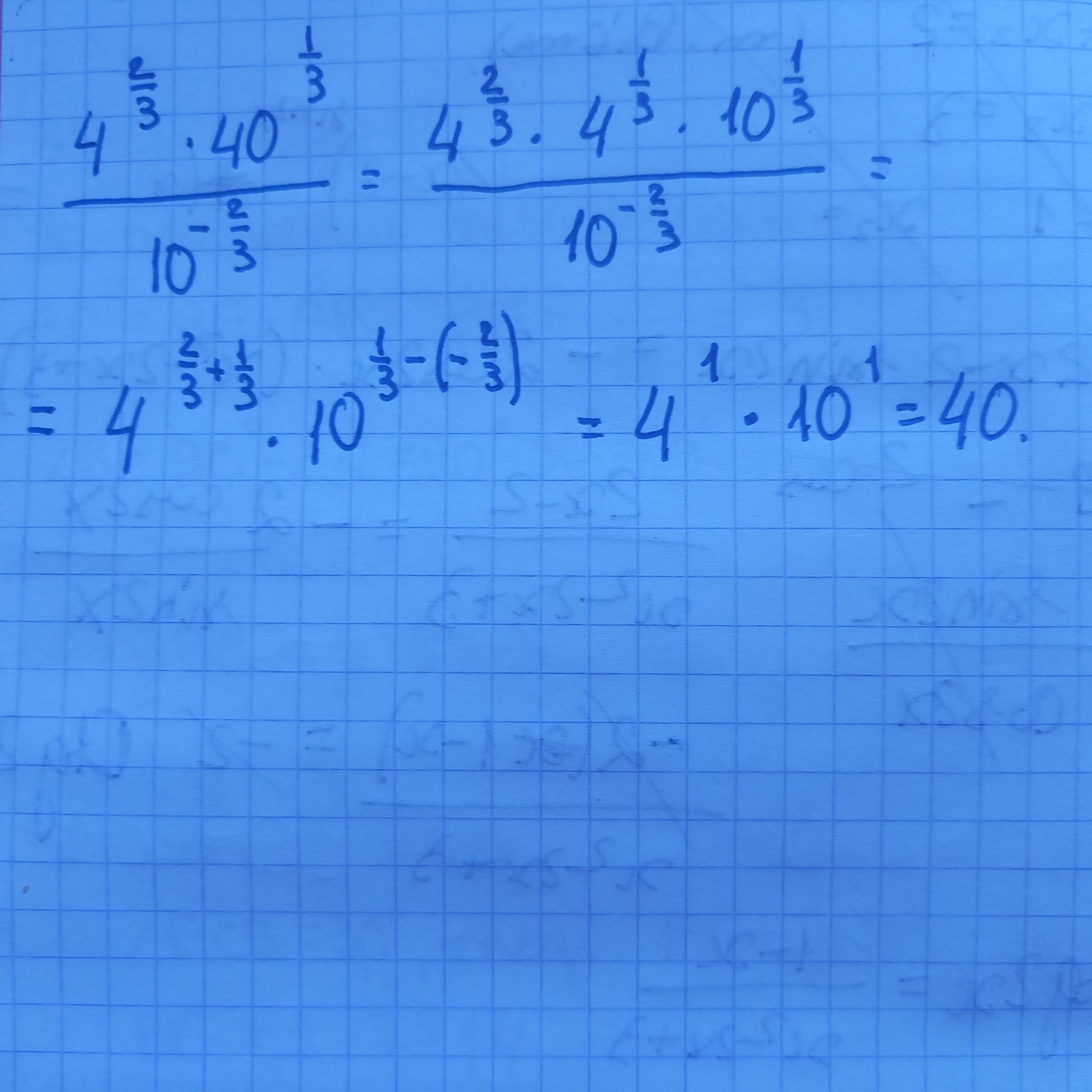
C) 40

Объяснение:

\frac{4^{\frac{2}{3}}\cdot40^{\frac{1}{3}}}{10^{-\frac{2}{3}}}=4^{\frac{2}{3}}\cdot(4\cdot10)^{\frac{1}{3}}\cdot10^{\frac{2}{3}}=4^{\frac{2}{3}}\cdot4^{\frac{1}{3}}\cdot10^{\frac{1}{3}}\cdot10^{\frac{2}{3}}=4^1\cdot10^1=4\cdot10=40

Автор ответа: aarr04594
0

40

################

Приложения:
Похожие вопросы
Предмет: Биология, автор: stanevskaaliza
Предмет: Математика, автор: chatontristee
Предмет: Математика, автор: zdellvacco