Предмет: Алгебра, автор: rahimzansahmetov

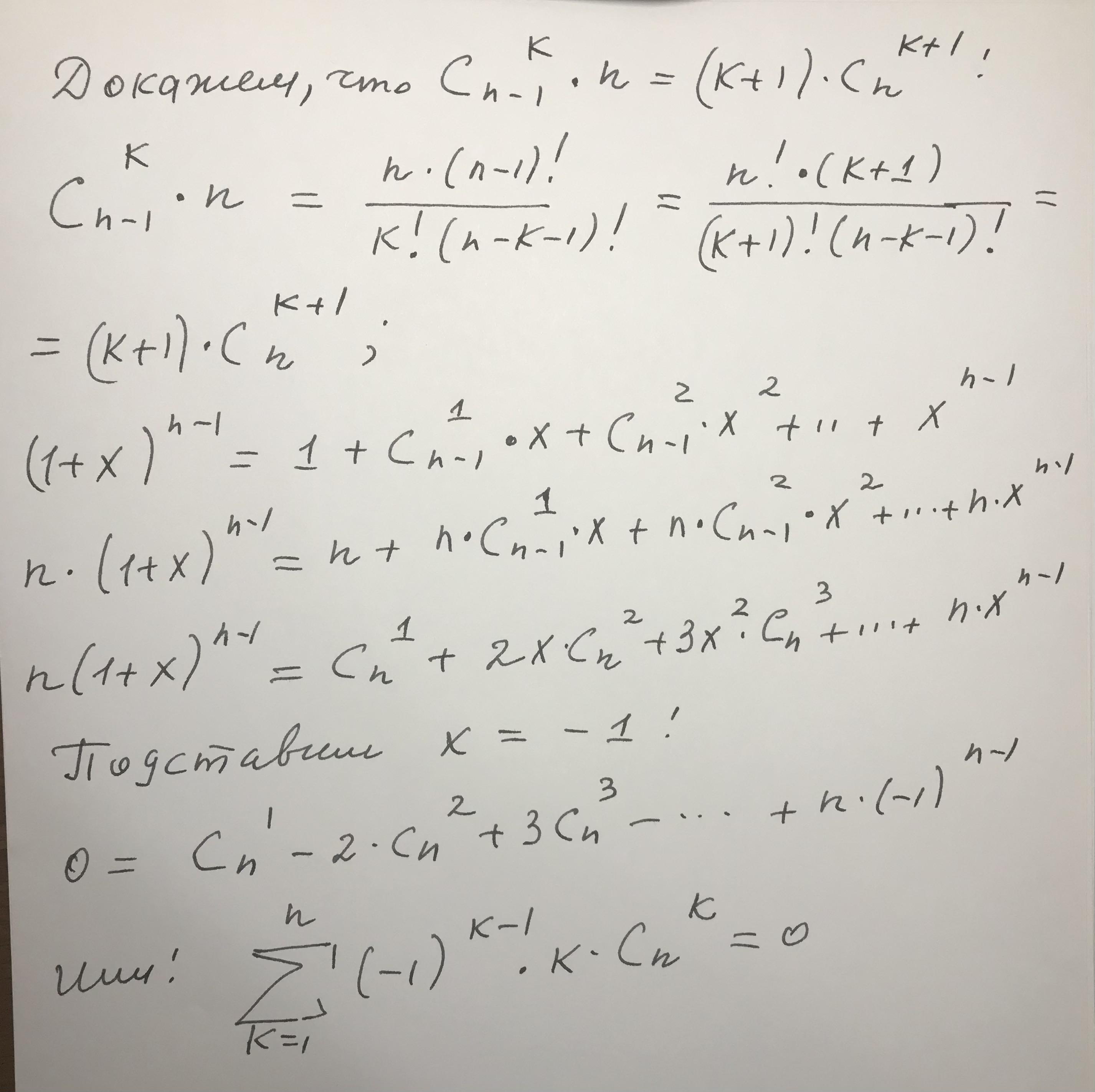
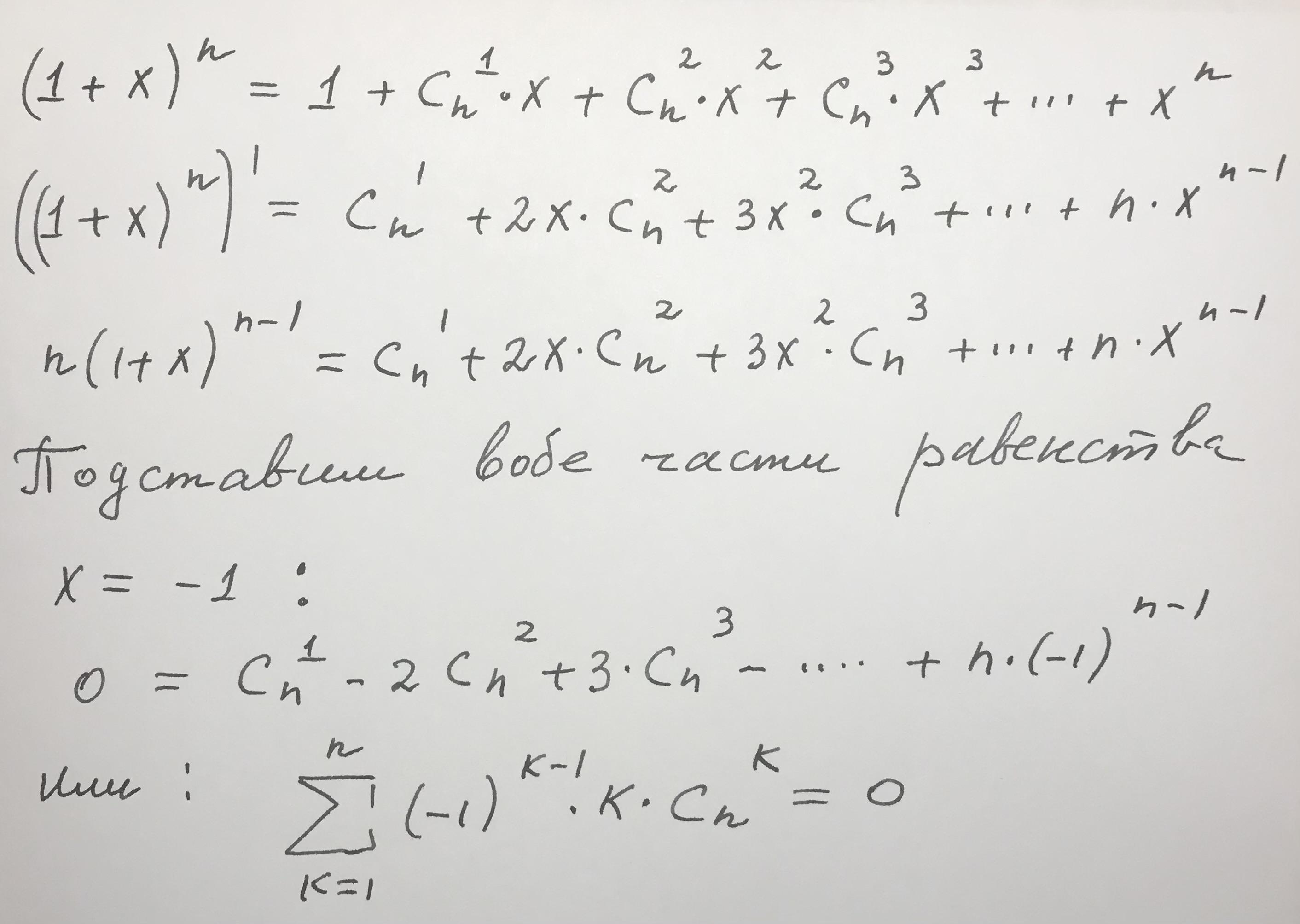
доказать тождество .

Приложения:

antonovm: https://ibb.co/dJTMqKD

Ответы

Автор ответа: antonovm
1

Ответ:

...........................................................

Объяснение:

Приложения:

rahimzansahmetov: Извините, можете решить при помощи бинома Ньютона? Я не изучал Ваш метод.
antonovm: так первая строка - бином Ньютона , дальше производная , её во всех школах изучают
rahimzansahmetov: Просто эта задача до тем о производной
antonovm: чуть позже будет второй вариант ( без производной )
rahimzansahmetov: Спасибо Вам большое
antonovm: добавил в комментах второе решение ( без производной )
antonovm: добавил второе решение
rahimzansahmetov: Как открыть комменты?
rahimzansahmetov: нашёл, спасибо.
Похожие вопросы
Предмет: Алгебра, автор: vikatrychuk
Предмет: Математика, автор: kyrmyzy0744
Предмет: Физика, автор: hryshenkoi81