Предмет: Математика,
автор: bohdankrav98
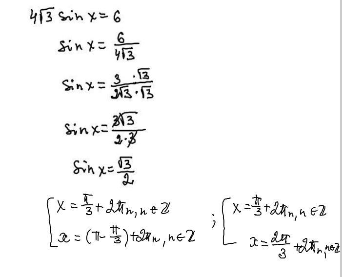
укажіть корінь рівняння 4√3sin x = 6. Поясніть як саме це зробити будь ласка
Ответы
Автор ответа:
1
Ответ:
Пошаговое объяснение: на фото
Приложения:
Похожие вопросы
Предмет: Физика,
автор: Anastaciialukash2000
Предмет: Математика,
автор: sawa15052012
Предмет: Физика,
автор: monster109
Предмет: Алгебра,
автор: KoVa774
Предмет: Математика,
автор: lisf1sher