Предмет: Алгебра, автор: ibrkhamz

Решите ПЖ

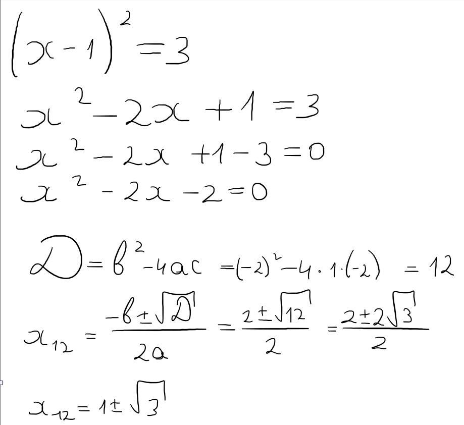
( x− 1)^2 = 3.


aarr04594: Дужки можна не розкривати. х-1=√3 , х=1+√3 або х-1=-√3, х=1-√3.

Ответы

Автор ответа: tolife2
1

Ответ:

x = 1 + √3 

x = 1 - √3

Объяснение:

1. Раскрываешь квадратные скобки: (x-1)(x-1) = x^2 – 2x + 1 = 3

2. Переносишь все члены уравнения в одну сторону: x^2 - 2x + 1 - 3 = 0

3. Найходишь дискриминант: D = 4 + 8 = 12

4. Найходишь корни с помощью формулы: x = (2±√12)/2

5. Упрощаешь выражение: x = 1±√3

И вот получил два корня: x = 1 + √3 и x = 1 – √3. Это и есть ответ.

Автор ответа: Abubachir555
0

Удачи!!!!!!!!!!!!!!!!!!!!!!!

Приложения:
Похожие вопросы
Предмет: Другие предметы, автор: manykiyanmariya20
1. Провести физический, полный химический контроль и контроль при отпуске для рецепта № 10 Возьми: раствора цинка сульфата 0,25% - 10 мл Кислоты борной 0,2 Простерилизуй. Выдай. Обозначь: по 2 капли в оба глаза 3 раза в день. ⎯ Написать рецепт на латыни. ⎯ Рассчитать норму допустимых отклонений (физический контроль). ⎯ Предложить качественные реакции на каждое вещество, входящее в состав прописи. Качественная реакция должна «открывать» только один ион и не давать реакцию с другими ионами в прописи.(качественный контроль) ⎯ Предложить метод количественного определения для каждого вещества (два ЛВ), который можно провести в присутствии других веществ, входящих в состав прописи. Описать условия, т.е. написать титрант, среду, рН, индикатор, формулу расчетов.(количественный контроль) ⎯ Написать этикетку для глазных капель по рецепту № 10. Указать всю необходимую информацию.(контроль при отпуске)