Предмет: Физика, автор: 1218Goat

Как вычислить время зная только расстояние и ускорение

Ответы

Автор ответа: wellsssion
0
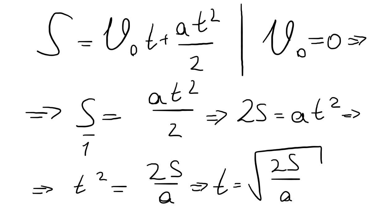
a=2S/t^2
Отсюда t=/(2S/a)

(“/“-корень)

1218Goat: Не правильно
Автор ответа: Abubachir555
1

Удачи!!!!!!!!!!!!!!!!!!!!!!!!
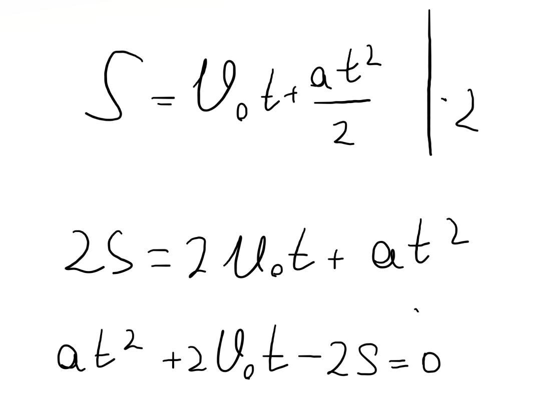
Если есть V0, то подставляешь все данные во второе выражение и решаешь как квадратное уравнение

Приложения:
Похожие вопросы
Предмет: Английский язык, автор: d56168446
Предмет: Английский язык, автор: alina1544626
Smoking
Despite the fact that everyone knows that smoking is harmful, there are so many smokers. Many of them begin to smoke in their teens and continue smoking till old age.
It is illegal to buy cigarettes if you are younger than 18. Nevertheless a great number of teenagers smoke. This bad habit is especially harmful for the young organism, because smoking affects normal development of the growing body.
Some teenagers say that it is “cool” to smoke. But is it really “cool” to have bad breath, yellow teeth, wheezing and coughing? In highly developed countries the number of smokers is decreasing each year. Nowadays it is “cool” not to smoke.
Smokers are physically weaker than non-smokers. So if you smoke you’ll never become a sportsman.
Long-term smoking leads to different serious diseases. Among them are heart diseases, bronchitis, asthma and cancers of different organs. Lung cancer is the most common type of cancer among smokers.
If you think you will be able to give up smoking any time you wish, you are mistaken. Cigarettes contain nicotine. This substance is very addictive. So if you smoke for some time it will be difficult to give up smoking.
About 3 million people die from smoking every year. Some of them do not smoke at all. They are so-called passive smokers. They are people who live or work with heavy smokers. Remember, when you smoke, your friends and relatives suffer from your bad habit too.
There‘s one more thing. Count how much money is spent on cigarettes. There are a lot of pleasant and useful things you can afford on this sum of money.

1. Do smokers know that smoking is harmful? __________________________________________________________
2. What are the limitations on selling the cigarettes? __________________________________________________________
3. Is smoking popular nowadays? __________________________________________________________
4. Are smokers physically stronger than non-smokers? __________________________________________________________
5. What are the “smoking” diseases? __________________________________________________________
6. Who are passive smokers? __________________________________________________________