Предмет: Математика,
автор: Nata190778
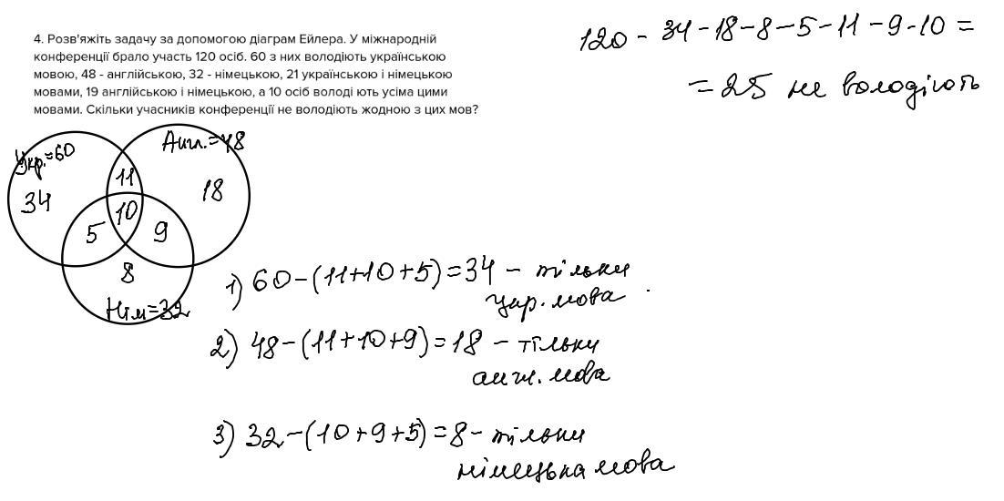
4. Розв'яжіть задачу за допомогою діаграм Ейлера. У міжнародній конференції брало участь 120 осіб. 60 з них володіють українською мовою, 48 - англійською, 32 - німецькою, 21 українською і німецькою мовами, 19 англійською і німецькою, а 10 осіб володі ють усіма цими мовами. Скільки учасників конференції не володіють жодною з цих мов?
NNNLLL54:
а не задано , сколько владеет укр. и англ. языками ?
NNNLLL54, умова точна, не сказано. Задача зі збірника контрольних робіт.
Nata190778. Така задача , тільки про науковців, була на сайті. Числа ті самі. Там відповідь 25. Пошукайте.
Ответы
Автор ответа:
0
Ответ:
Пошаговое объяснение: на фото
Приложения:
Похожие вопросы
Предмет: Биология,
автор: sofiakorolik847
Предмет: Английский язык,
автор: irakrasovska4
Предмет: Математика,
автор: karina5224rerv
Предмет: Литература,
автор: fomin3551
Предмет: Алгебра,
автор: гошан345