Предмет: Математика, автор: Аноним

поможіть сорі за те що аж 4завдання

Приложения:

jekadva: г) х=0,4
jekadva: д) 7/3
jekadva: г) 2,4
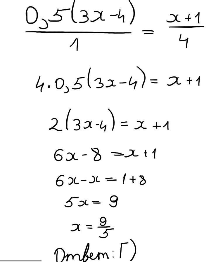
jekadva: г) 9/5

Ответы

Автор ответа: Alinashak10
0

Ответ:

 \frac{2}{x}  = 5 \\2  = 5x \\ x = 0.4

 \frac{2x - 3}{3}  =  \frac{x + 1}{6}   \\ 4x - 6 = x + 1 \\ 4x - 6 + 6 = x + 1 + 6 \\ 4x = x + 7 \\ 3x = 7 \\  \frac{3x}{7}  =  \frac{7}{3}  \\ x =  \frac{7}{3}

 \frac{x}{2}  +  \frac{x}{3}  = 2 \\  \frac{5x}{6}  = 2 \\ x =  \frac{12}{5} = 2.4

0.5(3x - 4) =  \frac{(x + 1)}{4}  \\ 2(3x - 4) = x + 1 \\ 6x - 8 = x + 1 \\ 5x = 9 \\ x = 1.8

Автор ответа: Abubachir555
0

Удачи!!!!!!!!!!!!!!!!!!!!!!!

Приложения:
Похожие вопросы
Предмет: География, автор: iduskevicmarina
Предмет: Математика, автор: cusushd6365
Предмет: Английский язык, автор: kostykolexandra0