Предмет: Физика, автор: ashkhenpoghosyan1

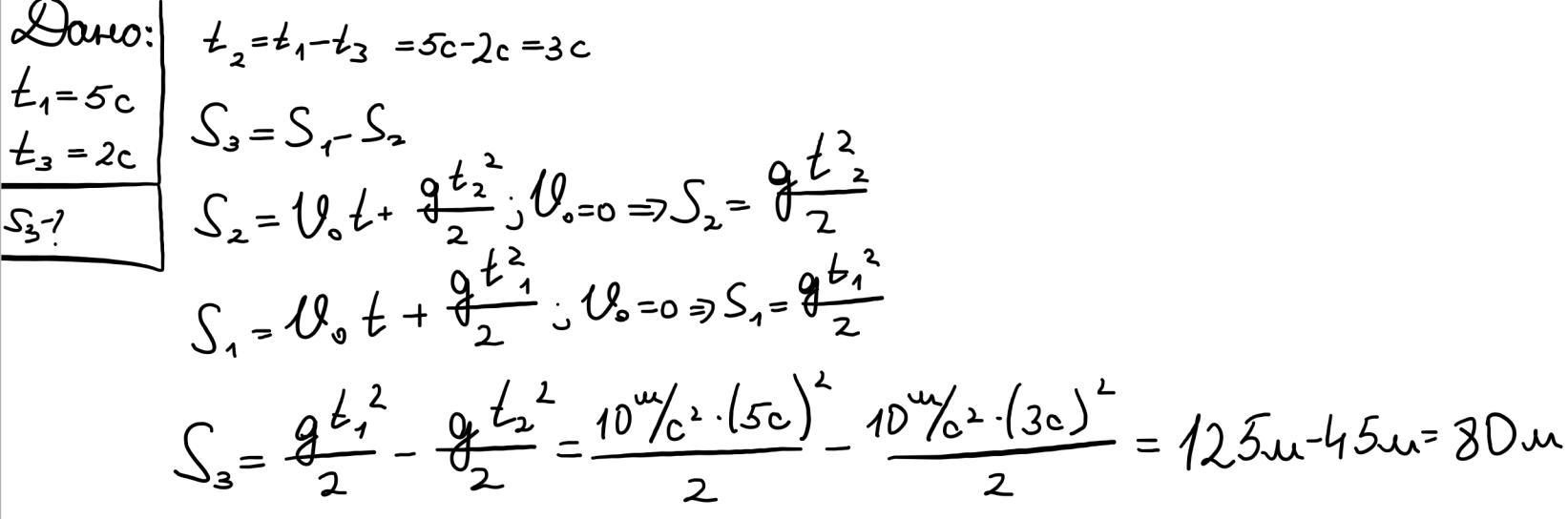
Свободно падающее тело с некоторой высоты достигло земли за 5 с. Определить расстояние, пройденное телом за последние 2 секунды падения.

Ответы

Автор ответа: Abubachir555
0

Удачи!!!!!!!!!!!!!!!!!!!!!!!

Приложения:
Похожие вопросы
Предмет: Алгебра, автор: zhosananastasiy
Предмет: Химия, автор: vencherbiber
Предмет: Английский язык, автор: daniilkameza
даю много баллов дз по аглийскому вообще ничего не понимаю Вариант№ 1
1. Complete the conversation.
A. Hello. My ______ ___ Thomas. What's _______ name? B. Johann. A. ________ are you from, Johann?
B. ________ from Berlin. Where ________ you from? A. _______ ________ Oxford.
2. Put am, is or are into the gaps.
1. I ___ from Italy.
2. Christina ______ twenty-nine years old.
3. Mike and Rosie _____ from London.
4. Clara _____ married.
5. He ____ a doctor.
3. Write the numbers in words. Example: 13 thirteen. 17; 30; 51; 12; 26; 99; 8; 15; 11; 100; 54.67; 0.5.
4. Put the words in the right order.
1. brother, got, blue, has, your eyes.
2.brother, tall, is, my, very.
3. blue, got, we, fair, eyes, and, have, hair.
4. glasses, wear, we, both.
5. have, mouth, I, nose, got, big, long, and.
6. Choose the correct word.
1. My sister is/has got very long hair.
2. What colour are/have your eyes?
3. I am/have very tall.
Вариант №2 Задание
1. Найдите соответствия: sports ground swimming pool first-year student workshop tool library canteen gym board j. спортзал k. первокурсник l. доска m. бассейн n. столовая o. мастерская p. библиотека q. инструмент r. спортивная площадка
Задание 2.
Напишите числа словами: 21; 100; 32; 125;98; 1000;87; 54; 76; 65. Задание 3:
Образуйте множественное число существительных: blub; file; vice; box; car; house; bench; roof; tyre; battery; man;knife.
Задание 5. Вставьте пропущенные предлоги:
1. Alexander goes __college five days a week.
2. We have a beautiful vase __ table with a lot of flowers __ it.
3. The seminar starts __ 12 o’clock.
2. Put the words in the plural. Example: laptop – laptops. laptop, college, student, workshop, tool, man, bush, hobby, woman, leaf, box, classroom, child, bus, chief, roof, wall, potato, wolf, deer, photo, lesson, subject, crisis, curriculum.
3. Put the words in the right order to make sentences.
1. are , there, three cushions, the sofa, on.
2. opposite the door, a round table, there is.
3. on, a lot of, there are, pictures, the walls.
4. no, the bedroom, there are, bedside tables, in.
4. Translate into Russian 1. I know that good health is better than wealth.
2. I have a shower, get dressed and brush my hair. It takes me 40 minutes.
3. Our classes start at half past eight.
4. We have a large break in the middle of the day which lasts 45 minutes.
5. Answer the questions
1. How many lessons a day do you have?
2. What are your favorite subjects?
3. What lessons drag slowly?
4. When do your classes finish? Задание
3. Дополните специальные вопросы вопросительным словом.
1. ____(кто) is that tall man?
2. ____(кого) do you see there?
3. ______(какого) colour are your eyes?
4. ________(чья) pen is this?
5. _______(кому) do you phone all the time?
6. __________(которая) stop is yours?
7. ________(когда) does your train arrive?
8. ________(где) do you live?
9. _________(куда) are you going to?
10._______(как) do I get there?
Задание №4 Ответьте на вопрос: How do you get to your college? Вариант №3
1. Put these nouns under the two headings: Countable nouns and Uncountable nouns. Tea, cup, bread, butter, paper, man, ham, tomato, salad, sausage, fruit, orange, pear, tin, apricot, pineapple, cream, cake. 2. Fill in the gaps with much, many, little and few.
1. You look fit! Do you exercise ....?
2. Don't talk too .... at the lesson.
3. There are .... boys in our group and .... girls.
4. There is .... food in the kitchen. We can't feed our guests.
5. The disc has only .... good songs. I don't want to buy it.
3. Answer the questions.
1. What does the usual British breakfast consist of?
2. When do English people usually have lunch?
3. Is dinner the biggest meal of the day?
4. What kinds of shops do you know?
5. Where do you prefer to do your shopping?
6. Is it convenient to do shopping at big department stores and supermarkets? 4. Continue the sentences. I do my food shopping at … I usually buy … there My usual meals are ...... My favourite dish is.... My usual breakfast consists of... I generally have lunch at ... For festive dinners we cook ..... Our special dish is ...
5. Образуйте превосходную степень сравнения прилагательных.
1. long – longer – _____________
2. wide – wider – _____________
3. hot – hotter – _____________
4. happy – happier – _____________
5. interesting – more interesting – _______________________
6. good – better – _____________
7. bad – worse – _____________
8. little – less – _____________
9. far – farther – _____________
10.polite – politer – _____________
11.polite – more polite – _____________
12.simple – more simple – _____________
13.clever – cleverer – ____________