Предмет: Алгебра,
автор: Ghhvjgjgj
СРОЧНО ДАЮ 40 БАЛЛОВ (напишите на листочке пожалуйста)
Приложения:
Ответы
Автор ответа:
1
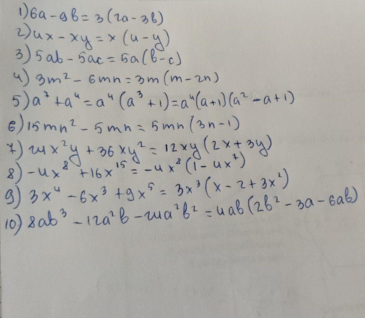
ответ на фото
Объяснение:
можно лучший ответ?
Приложения:
Похожие вопросы
Предмет: Математика,
автор: sofijakruglova18
Предмет: Другие предметы,
автор: dkukhar25
Предмет: Физика,
автор: starlightmeow
Предмет: Физика,
автор: dudosik14