Предмет: Математика,
автор: katya0195
Помогите пожалуйста
Приложения:
katya0195:
А решение?
Ответы
Автор ответа:
0
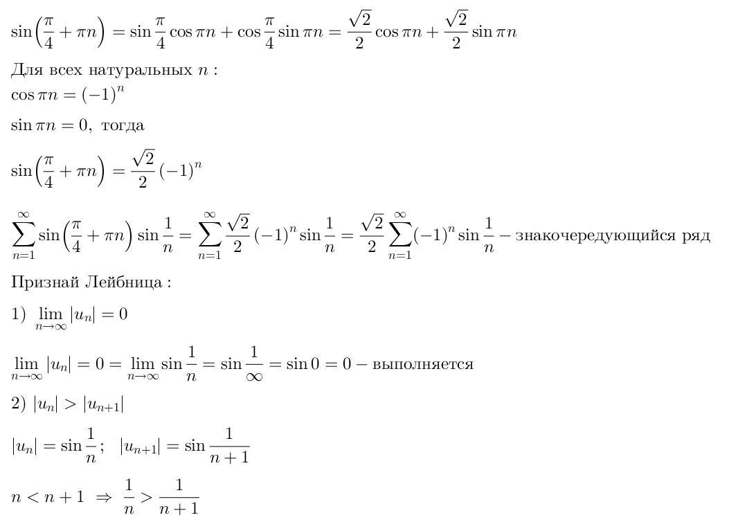
Ответ:
Сходится условно
Пошаговое объяснение:
Приложения:
Похожие вопросы
Предмет: Физика,
автор: barilov665
Предмет: География,
автор: Аноним
Предмет: Українська мова,
автор: viktoriaivanovnaaa
Предмет: Алгебра,
автор: Logika945
Предмет: Математика,
автор: valom89385