Предмет: Алгебра, автор: Sayori44

ПРОШУ ПОМОГИТЕ 3 задания 21, 22, 23, с решением

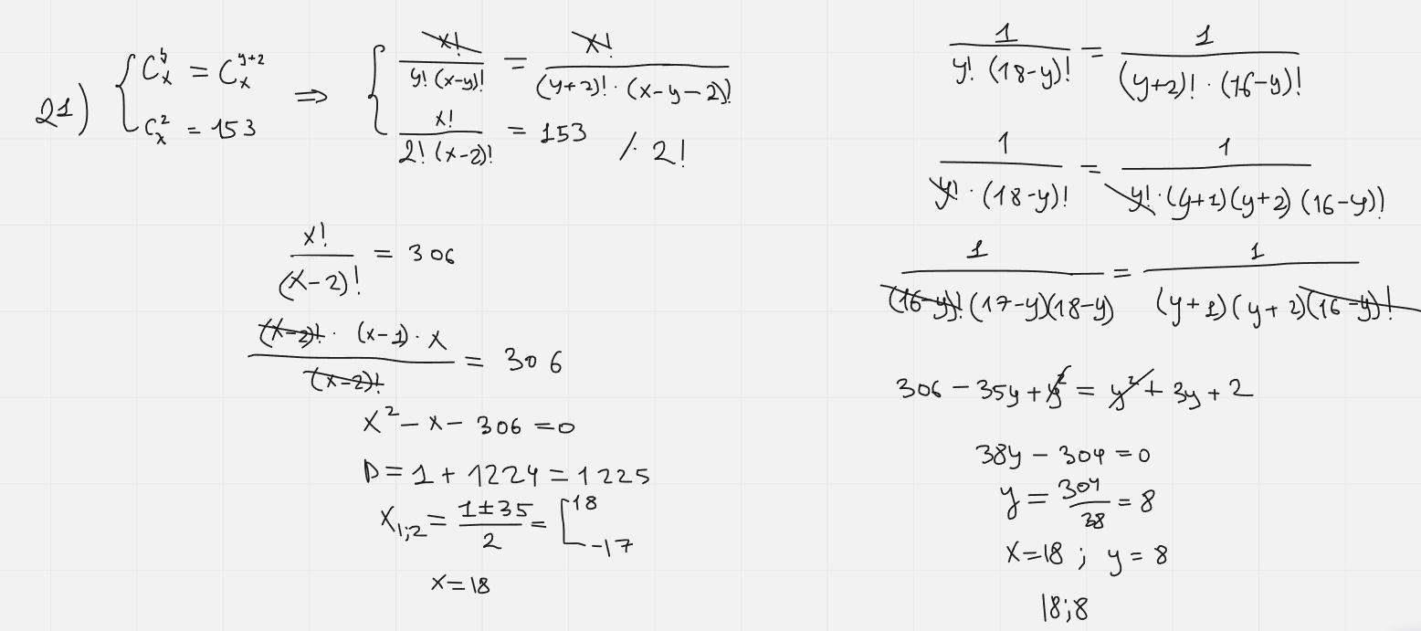
Приложения:

Ответы

Автор ответа: arystanbekovchingiz
1

Ответ: 21) 18; 8

Остальное было лень

Приложения:
Похожие вопросы
Предмет: Алгебра, автор: suzuuuukaaa
Предмет: Английский язык, автор: yuliastepanova2009ru
Повторите группу времен Simple и Continuous. Выполните тест. Выберите 1 правильный вариант ответа.
1. Mary (live) in Dublin.
a). live c). is living b). lives d). has lived
2. I (see) you tomorrow.
a). see c). will see b). saw d). sees
3. I (look for) Christine. Do you know where she is?
a). look for c). are looking for b). is looking for d). am looking for
4. Janny often (visit) her granny.
a). visit c). visits b). is visiting d). has visited
5. They (visit) all the English-speaking countries next year.
a). visited c). visit b). will visit d). visits
6. Look! Jason (draw) a funny picture on the blackboard.
a). is drawing c). draw b). are drawing d). draws
7. Tom is in his room. He (play) the piano.
a). play c). is playing b). plays d). are playing
8. My elder sister (finish) school in June.
a). finish c). finishes b). will finish d). finished
9. The Frasers live in a four-room apartment, but last year they (live) in a small house in the country.
a). lived c). live b). lived d). had lived
10. The boys (have) a game of football at the moment.
a). are having c). has b). have d). is having
11. I (not/want) to go anywhere.
a). don’t want c). isn’t want b). doesn’t want d). am not want
12. Yesterday at six o’clock I (wait) for Jennie at the station.
a). waited c). was waiting b). were waiting d). had waited
13. Let’s meet at the station at 5 o’clock. – O. K. I (wait) for you there.
a). will wait c). wait b). will be waiting d). will have waited
14. Helen (prefer) tea to coffee.
a). prefers c). prefers b). prefer d). preferz
15. Perhaps he (buy) a new flat next year.
a). bought c). buy b). will buy d). buys
16. At that moment he (sing) a lovely song.
a). is singing c). am singing b). are singing d). sings
17. We (not/have) a car, but we are going to buy it.
a). doesn’t have c). aren’t have b). don’t have d). isn’t have
18. My dad always goes to work by car, but last week he (go) to work on foot.
a). goes c). went b). goed d). gone
19. I (look for) my glasses. Where are they?
a). look for c). am looking for b). looks for d). is looking for
20. They (like) hamburgers and chips.
a). are liking c). likes b). like d). is liking
21. You often (make) mistakes in your tests. You should be more attentive.
a). makes c). make b). is making d). are making
22. They finished their work at 11 o’clock and (go) home.
a). go c). gone b). went d). had gone