Предмет: Химия,
автор: Аноним
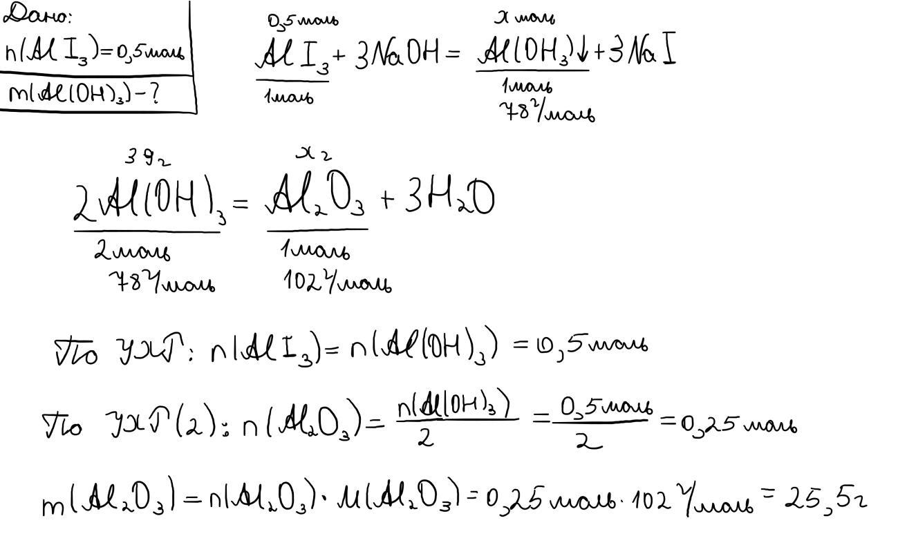
Осадок, образовавшийся при взаимодействии гидроксида натрия с 0,5 моль йодида алюминия нагрели. Найти массу полученного твердого вещества.
Ответы
Автор ответа:
1
Удачи!!!!!!!!!!!!!!!!!!!!!!!!!!
Приложения:
Похожие вопросы
Предмет: География,
автор: utkinavitalina5
Предмет: Информатика,
автор: Martinat
Предмет: Химия,
автор: valeri323
Предмет: Физика,
автор: sergeytsetsera
Предмет: Русский язык,
автор: ArturKulichev