Предмет: Математика,
автор: piromatvey
Помогите пожалуйста даю 10б
Приложения:
Ответы
Автор ответа:
0
Ответ:
Пошаговое объяснение:
4) 16,1*16,5=25,3*x
265,65=25,3x
x=265,65:25,3
x=10,5
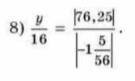
8) 61/56*y=76,25*16
y= 76,25*16*56:61
y=1220*56:61
y=68320:61
y=1120
Похожие вопросы
Предмет: Українська мова,
автор: alinapolzovatel94
Предмет: Химия,
автор: zaym8195
Предмет: Химия,
автор: memnyjdoktor28
Предмет: Физика,
автор: smiledoggg
Предмет: Математика,
автор: kalibrovo4kabezprime