Предмет: Алгебра,
автор: boykoirina011
помогите пожалуйста
Приложения:
Ответы
Автор ответа:
0
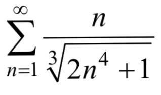
Ответ:
ответ смотрите на фотографии.
Объяснение:
Так то по сути ряд расходится, так мне показал калькулятор. Но по интегральному признаку Коши, я не смог определить.
Приложения:
Похожие вопросы
Предмет: Математика,
автор: polinastorozeva28
Предмет: Алгебра,
автор: yanatyrne11
Предмет: Химия,
автор: 4bk5kf55sg
Предмет: Математика,
автор: dhghhudi
Предмет: Физика,
автор: temirlantolegen01