Предмет: Алгебра,
автор: krasiltona
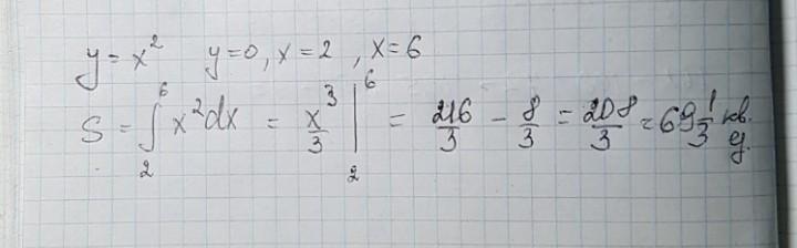
Найдите площадь криволинейной трапеции:
Y=x^2-2 y=0
Ответы
Автор ответа:
1
вирішення на фото.......
Приложения:
Похожие вопросы
Предмет: Химия,
автор: karabutleruna
Предмет: Другие предметы,
автор: myk558
Предмет: Українська література,
автор: Аноним
Предмет: Английский язык,
автор: gamzaevt98
Предмет: Химия,
автор: Hikit123