Предмет: Алгебра, автор: futurenight

СРОЧНО ПОМОГИТЕ ПОЖАЛУЙСТА

Приложения:

Ответы

Автор ответа: NNNLLL54
1

Ответ:

Упростить выражение .

Применяем основные тригонометрические тождества :

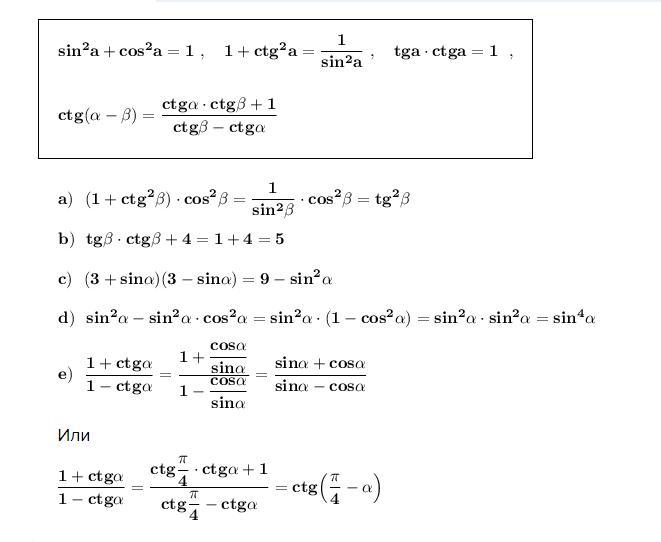
\bf sin^2a+cos^2a=1\ ,\ \ \ 1+ctg^2a=\dfrac{1}{sin^2a}\ ,\ \ \ tga\cdot ctga=1\ \ ,\\\\\\ctg(\alpha -\beta )=\dfrac{ctg\alpha \cdot ctg\beta +1}{ctg\beta -ctg\alpha }

\bf \displaystyle a)\ \ (1+ctg^2\beta )\cdot cos^2\beta =\frac{1}{sin^2\beta }\cdot cos^2\beta =tg^2\beta \\\\b)\ \ tg\beta \cdot ctg\beta +4=1+4=5\\\\c)\ \ (3+sin\alpha )(3-sin\alpha )=9-sin^2\alpha \\\\d)\ \ sin^2\alpha -sin^2\alpha \cdot cos^2\alpha =sin^2\alpha \cdot (1-cos^2\alpha )=sin^2\alpha \cdot sin^2\alpha =sin^4\alpha  

\bf \displaystyle e)\ \ \frac{1+ctg\alpha }{1-ctg\alpha }=\frac{1+\dfrac{cos\alpha }{sin\alpha }}{1-\dfrac{cos\alpha }{sin\alpha }}=\frac{sin\alpha +cos\alpha }{sin\alpha -cos\alpha }  

Или

\bf \displaystyle \frac{1+ctg\alpha }{1-ctg\alpha }=\frac{ctg\dfrac{\pi }{4}\cdot ctg\alpha +1}{ctg\dfrac{\pi }{4} -ctg\alpha }=ctg\Big(\frac{\pi }{4}-\alpha \Big)                    

Приложения:
Похожие вопросы