Предмет: Математика, автор: xoxopool352

Помогите срочно сделать!!!

Приложения:

Ответы

Автор ответа: NNNLLL54
0

Ответ:

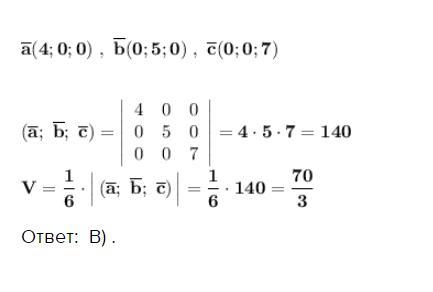
2.4.  Объём пирамиды, построенной на трёх некомпланарных векторах равен 1/6 от модуля смешанного произведения этих векторов .

\bf \overline{a}(4;0;0)\ ,\ \overline{b}(0;5;0)\ ,\ \overline{c}(0;0;7)\\\\\\(\overline{a};\ \overline{b};\ \overline{c})=\left|\begin{array}{ccc}4&0&0\\0&5&0\\0&0&7\end{array}\right|=4\cdot 5\cdot 7=140\\\\V=\dfrac{1}{6}\cdot \Big|\, (\overline{a};\ \overline{b};\ \overline{c})\, \Big|=\dfrac{1}{6}\cdot 140=\dfrac{70}{3}  

Ответ:  В) .

Приложения:
Похожие вопросы