Предмет: Математика,
автор: mangleanimatronik112
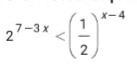
СРОЧНО ПОМОГИТЕ! НУЖНО РЕШИТЬ НЕРАВЕНСТВО!
Приложения:
Ответы
Автор ответа:
1
Ответ:
Пошаговое объяснение:
Приложения:
Автор ответа:
1
Решение на прикреплённой фотографии
Приложения:
Похожие вопросы
Предмет: Физика,
автор: bucenkoalina
Предмет: Английский язык,
автор: gevgenyshestakov2000
Предмет: Английский язык,
автор: masha25152515
Предмет: Химия,
автор: nata3kotyk
Предмет: Английский язык,
автор: Shindzy