Предмет: Алгебра, автор: krivomazov07

Решите неравенство там 2 в степени икс минус 3 меньше или равно одна четвертая

Приложения:

Ответы

Автор ответа: NNNLLL54
1

Ответ:

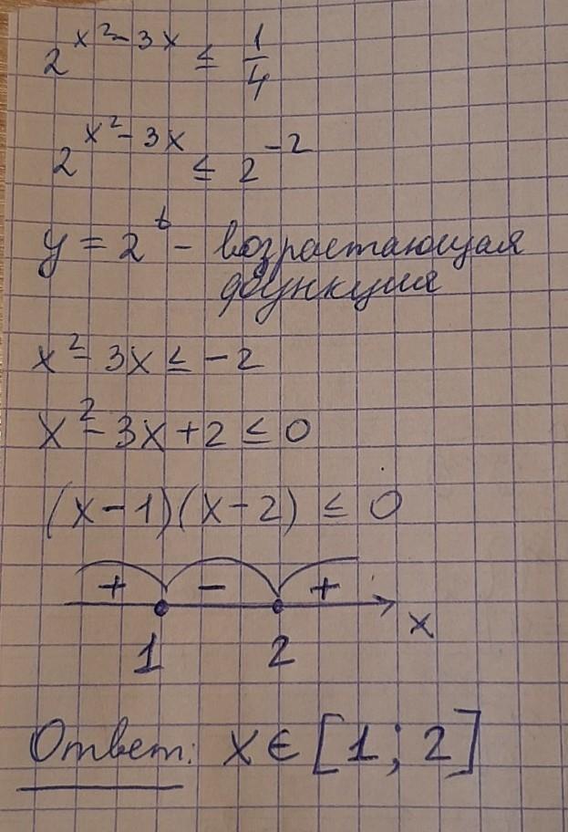
\bf 2^{x^2-3x}\leq \dfrac{1}{4}\ \ \ \Rightarrow \ \ \ 2^{x^2-3x}\leq 2^{-2}  

Функция  у=2ˣ  возрастающая, поэтому    

\bf x^2-3x\leq -2\ \ \ \Rightarrow \ \ \ x^2-3x+2\leq 0  

Нули функции :   \bf x_1=1\ ,\ \ x_2=2   (по теореме Виета) .

Знаки функции :   \bf +++[\ 1\ ]---[\ 2\ ]+++  

Ответ:   \boldsymbol{x\in [\ 1\ ;\ 2\ ]}   .

Приложения:
Автор ответа: сок111213
1

Решение на прикреплённой фотографии

Приложения:
Похожие вопросы
Предмет: Українська мова, автор: renataliev200805
РЕБЯТА ПОМОГИ ПЖПЖПЖПЖЖПЖП ОЧЕНЬ СРОЧНО НУЖНА ПОМОЩЬ!!!!!!!!!!!!!!! НАДО 1.Визначить Тему тексту. 2.Визначте Основну думку тексту ПЖПЖЖПЖПЖПЖПЖЖПЖПЖ!!!
У чому твоє призначення?
Мабуть, кожен із нас часто запитував себе: хто я
такий і яке моє призначення на Землі? Як зробити
своє життя цікавим і різноманітним? Як прожити, щоб
отримувати задоволення і водночас бути корисним
суспільству? Питання дуже складне і в той же час
дуже просте, а відповідь ще простіша: жити потрібно
по совісті. Досить часто можна почути, що людям без
честі і совісті набагато легше пристосовуватися до
будь-яких умов і до будь-якого середовища. Але це
зовсім не так. Інколи за маскою вульгарності і
грубості ховається зранена душа, яка так прагне
щастя і хорошої долі. Часто в пошуках кращого ми не
помічаємо звичайних земних радостей, а вони ж ось
тут, зовсім поряд. Це сонячний ранок і тихий
журливий вечір, це рідне село, де ти знаєш кожну
стежку, це родина з дорогими тобі людьми, це школа і
шкільні друзі, котрі інколи готові заради тебе на
відчайдушні необдумані вчинки…
Щастя – це те, що тебе оточує, що рухає тобою і дає
наснагу. Щастя – це перше посаджене дерево і
перший поцілунок, це батьківська похвала і хороша
оцінка у щоденнику, це смачна цукерка і радість від
забитого гола, це красива сукня і чашечка ароматної
кави…Зуміти це все оцінити – справа не хитра, але
водночас варто задуматися: а хто ж я серед цієї
життєвої круговерті? Сьогодні кинув грубе слово мамі,
тоштурхонув ногою кота, який трапився на шляху (нехай
знає в оселі місце!), розказав учителю свої права,
забувши про свої обов’язки, втік з третього уроку, а
ще…А ще багато чого, тільки чомусь ці «подвиги» не
принесли бажаного задоволення. А ще…А ще в душі
якийсь буравчик не дає спокійно заснути, перевертає
з боку на бік, відганяє сон. Це – совість. І є вона у
кожного з нас. Тільки одні роблять висновки, а інші
випробовують долю, наступаючи і далі на ті самі
граблі, які так боляче б’ють носа. Жити по совісті? А
це як?
Мабуть, треба поглянути на себе збоку і прокрутити все
назад: ласкаво обізватися зранку до батьків, бо вони у
нас одні, погладити Мурчика, який так чекає від тебе
ласки, поглянути в очі вчителя, у яких відбивається
щире бажання навчити і безсилля перед твоєю
байдужістю, відсидіти урок, хоч як би важко не було,
попросити вибачення у товариша, якого зовсім недавно
вилаяв останніми словами, переділити навпіл яблуко,
пригостивши першокласника…І тоді буравчик серед
ночі притихне і спатиме спокійно разом з тобою. А ти,
прокинувшись інколи посеред темряви, подумаєш: яке
ж все-таки життя цікаве і різноманітне, то навіщо його
дні витрачати на всілякі дурниці, коли можна прожити
гідно, залишивши після себе по-справжньому хороший
слід.​