Предмет: Химия, автор: Sofi575946

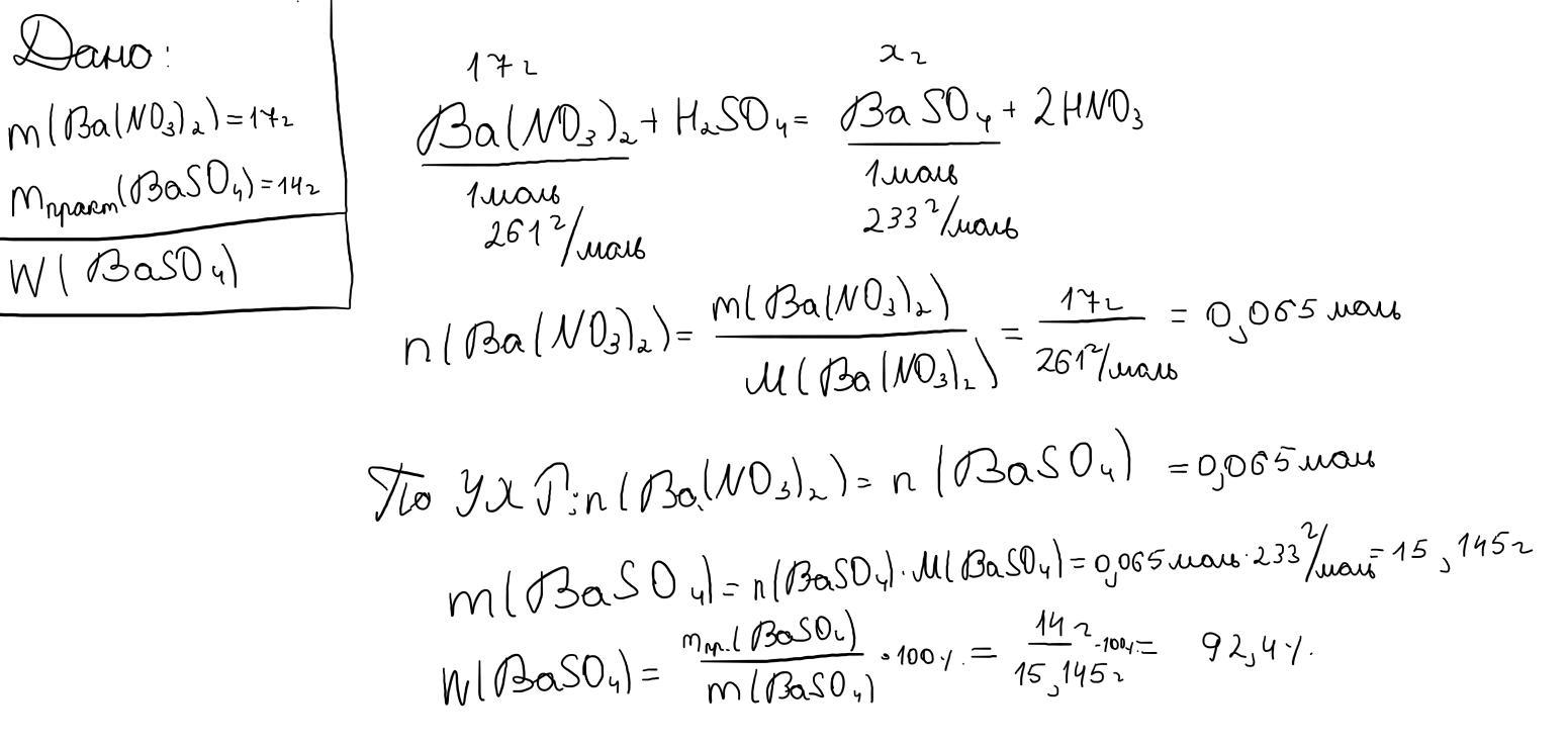
Барій нітрат масою 17 г прореагував із сульфатною кислотою. Випав білий нерозчинний осад масою 14 г. Обчисліть масову частку виходу продукту реакції від теоретично можливого

Ответы

Автор ответа: Abubachir555
1

Удачи!!!!!!!!!!!!!!!!!!!!!!!!!!!!!!!!!!!!

Приложения:
Похожие вопросы
Предмет: Математика, автор: Sandugashsan90
Предмет: Русский язык, автор: yulechka93
10-
7
й,
y
TO
Ь
69A. Спишите предложения из "Национального корпуса русского языка",
вставьте пропущенные буквы, расставьте недостающие знаки препинания. Под-
черкните в предложениях сказуемые, подлежащие, дополнения. Докажите, что
они являются активными.
1. Уже разработа...ы програ...ы создающие
общие правила для решения задач обучающие
програ...ы програ...ы для перевода текстов с одного
языка на другой. 2. Пр...блема создания иску...
тве...ого инте...екта ра...смотре...а авторами как часть общей теории
програ...ирования. 3. При оценк... п...рсп...ктив и д...стижений по
созданию иску...тве...ого разума уче...ыми сформулирова..ы противо-
положные точки зрения от принц...пиальной невозможности до ско-
рейшего создания полноце...о работающей с...стемы. 4. Писателями-
ф...нтастами высказа...ы мрачные пр...гнозы например описа...а
роботоц...вилизация подч...нившая себе человечество. 5. С...стемы
иску...тве...ого инте...екта уже были использова...ы и в таких сферах
как ра...познавание образов ор...ентация в сложных с...туациях ме-
диц..
...нские экспертные системы банковский страховой бизнес созда-
ние систем по...ержки пр...нятия решений. 6. Програ...ы иску...твен-
ного инте...екта ориентирова...ы не столько на решение к...нкретных
инте...ектуальных задач сколько на создание сре...ств позволяющих
авт...матически создавать програ...ы.
экспертный
домино
X32
DX;
Предмет: Математика, автор: kristikz97