Предмет: Алгебра, автор: elina071006

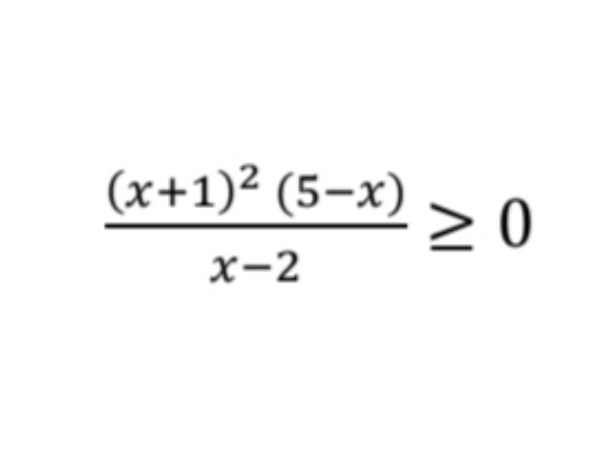
Скільки цілих розв'язків має нерівність:

Приложения:

Ответы

Автор ответа: goroshina85
1

Ответ: 4

Объяснение:

рассмотрим все возможные варианты:

1) (х+1)² > 0 при любых значениях х, решением, подходящим к нашему условию будет х = -1, то есть когда (х+1)² = 0

далее

(5-х)/(х-2)≥0

здесь 2 варианта: либо обе "скобки" одновременно > 0, либо одновременно < 0. получаем 2 системы уравнений. каждую из которых решим отдельно

2)  \left \{ {{5-x\geq 0} \atop {x-2 &gt; 0}} \right. \\\left \{ {{x\leq 5} \atop {x &gt; 2}} \right. \\2 &lt; x\leq 5              3)  \left \{ {{5-x\leq  0} \atop {x-2 &lt; 0}} \right. \\\left \{ {{x\geq  5} \atop {x &lt; 2}} \right., нет решений

в неравенстве 2 < x ≤ 5 целыми решениями являются цифры 3; 4; 5 , во второй системе уравнений нет решений и в первом случае было решение х = -1. Итого 4 целых решения.

Похожие вопросы
Предмет: Математика, автор: babuskamama61
Предмет: Биология, автор: nastenkadorosh