Предмет: Алгебра,
автор: sonya592012
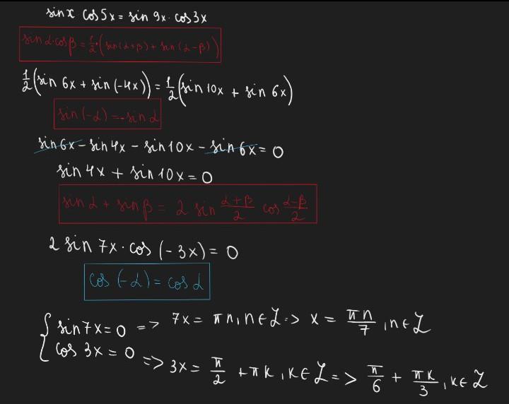
Розв’язати рівняння sin x cos 5x = sin 9x cos 3x
Очень буду благодарна за быстрый ответ
sonya592012:
У мене там відповіді мають тут відповіді мають бути починаючи з D(y) та варіанти
Ответы
Автор ответа:
0
Ответ:
розв'язок на фото
Объяснение:
------------------------
Приложения:
Похожие вопросы
Предмет: Математика,
автор: gauxar0508
Предмет: Математика,
автор: kovalpolina04102011
Предмет: Другие предметы,
автор: Аноним
Предмет: Математика,
автор: telot25358