Предмет: Алгебра,
автор: veronichlaa
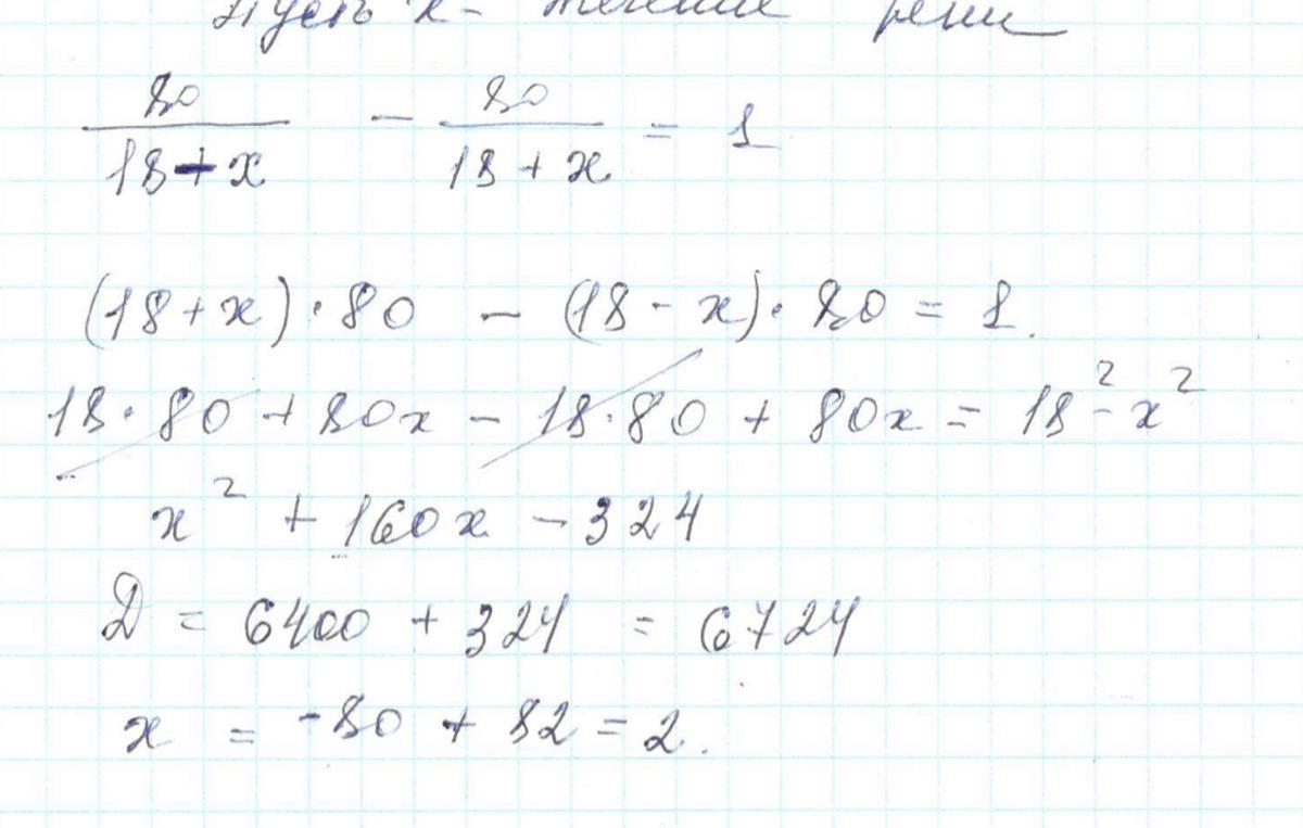
6 Моторний човен проплив 80 км за течією річки і повернувся
назад, витративши на зворотний шлях на 1 год бiльше. Зна-
йдіть швидкість течії, якщо власна швидкість човна дорів-
нює 18 км/год.
ПОМОЖІТЬ
Ответы
Автор ответа:
0
решение на картинке
Приложения:
Похожие вопросы
Предмет: Физкультура и спорт,
автор: polinchen28
Предмет: Українська мова,
автор: vikakravchenko1984t
Предмет: Физкультура и спорт,
автор: polinchen28
Предмет: Биология,
автор: Suana13
Предмет: Биология,
автор: Malins68