Предмет: Алгебра, автор: annapapaya

допоможіть обчислити

Приложения:

Ответы

Автор ответа: NNNLLL54
1

Ответ:

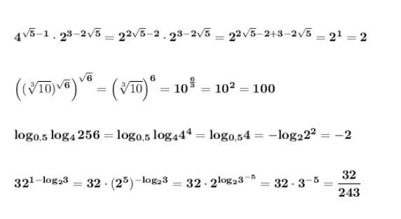
Применяем свойства степеней и логарифмов .

\bf 4^{\sqrt5-1}\cdot 2^{3-2\sqrt5}=2^{2\sqrt5-2}\cdot 2^{3-2\sqrt5}=2^{2\sqrt5-2+3-2\sqrt5}=2^1}=2\\\\\\\Big((\sqrt[3]{10})^{\sqrt6}\Big)^{\sqrt6}}=\Big(\sqrt[3]{10}\Big)^6=10^{^{\frac{6}{3}}}=10^2=100\\\\\\log_{0,5}\, log_4\, 256=log_{0,5}\, log_44^4=log_{0,5}4=-log_22^2=-2\\\\\\32^{1-log_23}=32\cdot (2^5)^{-log_23}=32\cdot 2^{log_23^{-5}}=32\cdot 3^{-5}=\dfrac{32}{243}

Приложения:
Похожие вопросы
Предмет: Математика, автор: Versa176