Предмет: Алгебра,
автор: Аноним
Спасибо тому,кто решит этот пример.....
Приложения:
Ответы
Автор ответа:
1
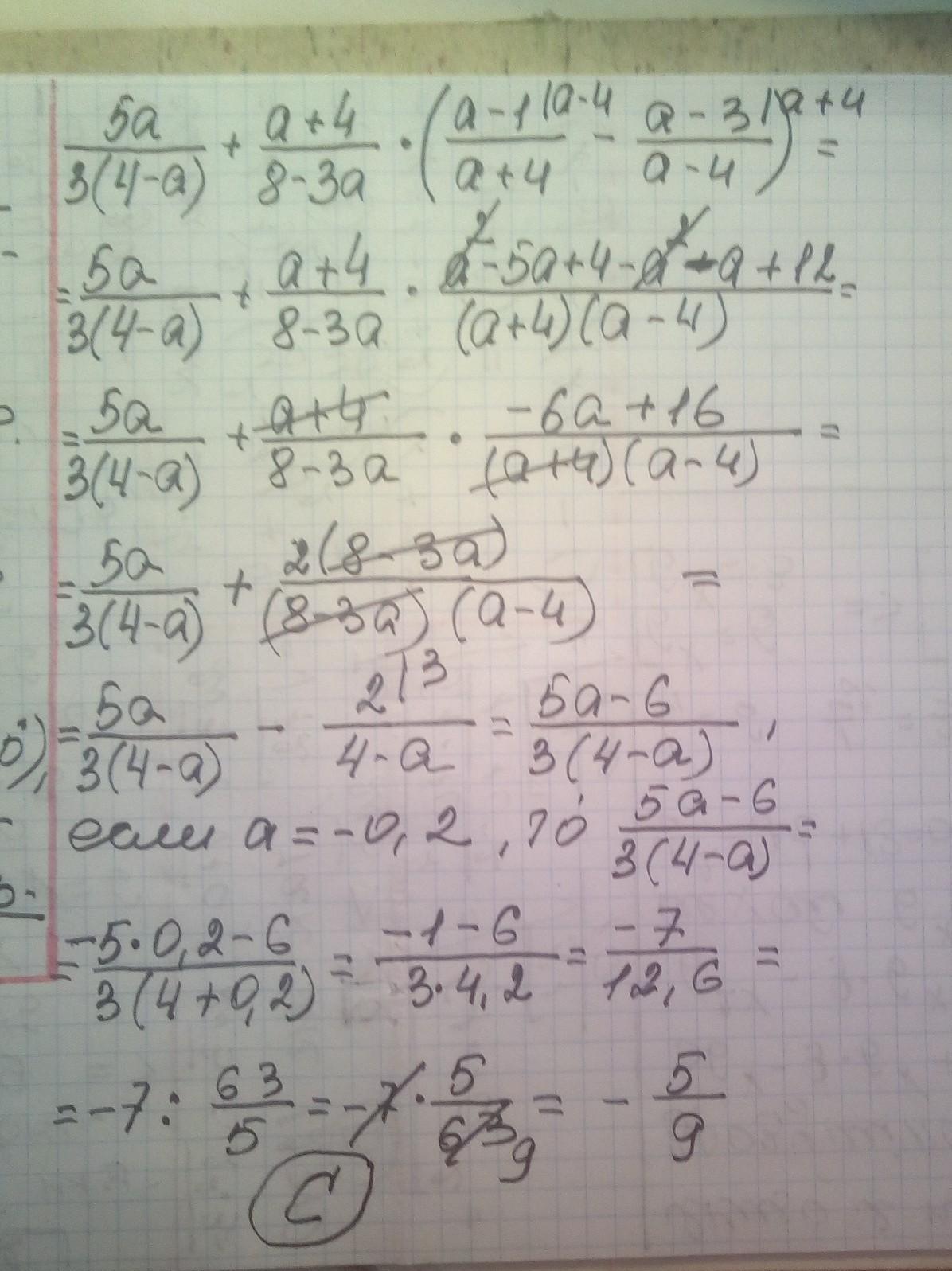
Ответ:
решение смотри на фотографии
Приложения:
Автор ответа:
0
Ответ: С)
Решил на фотографии.
Приложения:
Похожие вопросы
Предмет: Химия,
автор: Orbuzik888888
Предмет: Геометрия,
автор: matylanasta
Предмет: Українська література,
автор: inoinna336
Предмет: Английский язык,
автор: gyrfvhydv
Предмет: Английский язык,
автор: igorkortyshkov