Предмет: Алгебра,
автор: katesokolova4200
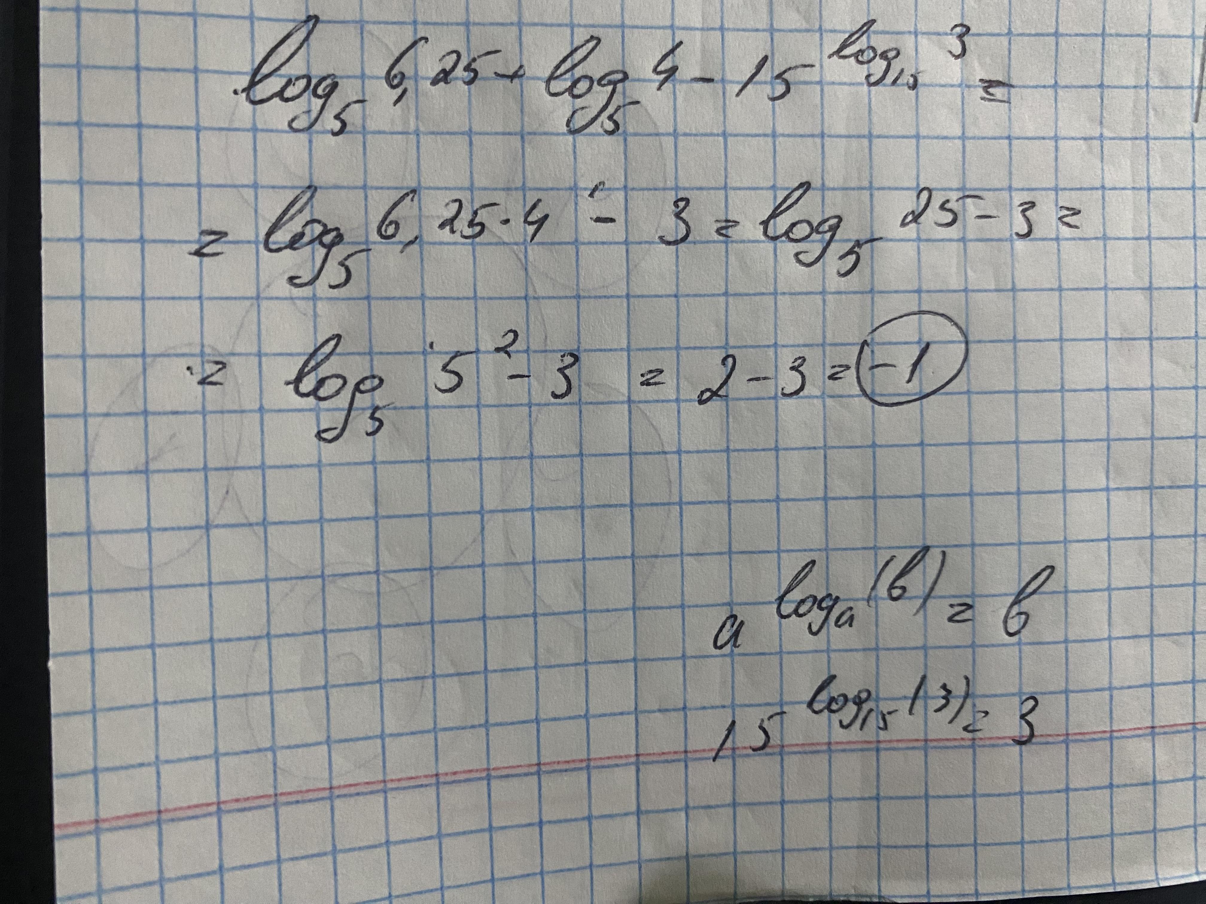
Найдите значение выражения log5 6,25+log5 4-15^log15 3
Ответы
Автор ответа:
0
Ответ:
Объяснение:........
Приложения:
Похожие вопросы
Предмет: Обществознание,
автор: pctwh4skn6
Предмет: Українська мова,
автор: zininaanastasiia
Предмет: История,
автор: sekerf
Предмет: История,
автор: tornado19234p3zt0x
Предмет: Литература,
автор: gyilfuiijpo