Предмет: Алгебра,
автор: lochgipon
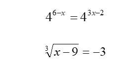
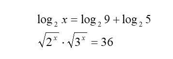
Решить уравнения 8) во вложениях
Приложения:
Ответы
Автор ответа:
1
Объяснение:
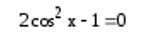
Решение на фото.........
Приложения:
lakizukaleksandr:
"Отметь мой ответ лучшим" пожалуйста
Похожие вопросы
Предмет: ОБЖ,
автор: sosiso4ka195
Предмет: Математика,
автор: anastasibro11
Предмет: Английский язык,
автор: kakakak77
Предмет: Химия,
автор: davidxmikulskiy