Предмет: Математика, автор: smazenakukuruza

дано вектори m(-7;-1;8) і n(-3;2;-4) знайдіть координати вектора m+n

Приложения:

Ответы

Автор ответа: NNNLLL54
1

Ответ:

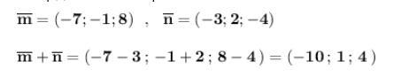
Координаты суммы векторов равны сумме соответствующих координат векторов .

\bf \overline{m}=(-7;-1;8)\ \ ,\ \ \overline{n}=(-3;2;-4)\\\\\overline{m}+\overline{n}=(-7-3\, ;\, -1+2\, ;\, 8-4\, )=(-10\, ;\, 1\, ;\, 4\, )  

Ответ:  №2 .

Приложения:
Похожие вопросы