Предмет: Алгебра,
автор: maximvehetek
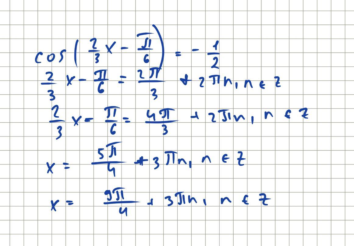
Розв'яжи рівняння: 10 класс
Приложения:
Ответы
Автор ответа:
0
Ответ:
дай лучший ответ пж
Объяснение:
Приложения:
Похожие вопросы
Предмет: Литература,
автор: elizavetasaar
Предмет: Українська література,
автор: garpulya
Предмет: Математика,
автор: nikujezanat
Предмет: Математика,
автор: kremnevasofia49
Предмет: Геометрия,
автор: Nurzhan94