Предмет: Алгебра, автор: szubik45

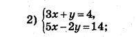
решіть систему способом додавання
даю 50 баллов!

Приложения:

Ответы

Автор ответа: MizoriesKun
1

Смотри.................

Приложения:

szubik45: спасибо!
Похожие вопросы
Предмет: География, автор: mikitakravchenko
Предмет: Алгебра, автор: Ashirolll
Предмет: Математика, автор: atabaevagulnozahon
Предмет: Математика, автор: Аноним