Предмет: Алгебра, автор: maksatilasov889

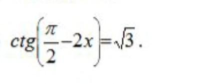
3. Решите уравнение

Приложения:

Ответы

Автор ответа: vikahudolij12
0

Ответ:

Надіюсь що все правильно!!!

Приложения:
Похожие вопросы
Предмет: Химия, автор: mustafayevamane