Предмет: Алгебра, автор: listvaa

Подскажите, пожалуйста, решение этой системы уравнений по шагам.

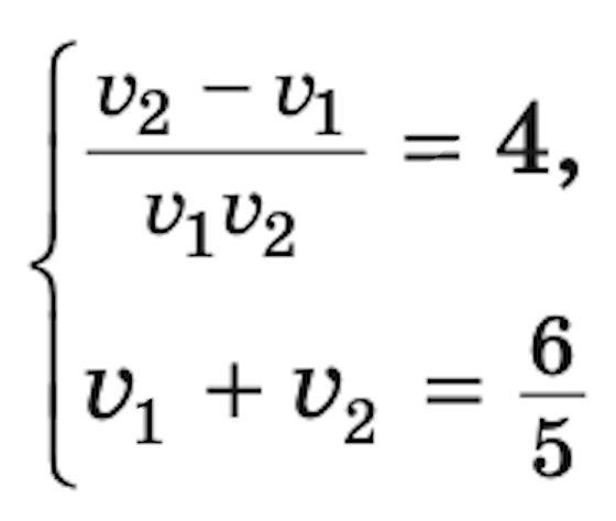
Приложения:

Ответы

Автор ответа: qshoW
1

v_{1} и v_{2} такие же переменные, как х и у.

Выражаем из второго уравнения v_{1}

v_{1}=\frac{6}{5}-v_{2}

Подставляем в первое уравнение

\frac{v_{2-(\frac{6}{5}-v_{2})  } }{(\frac{6}{5}-v_{2})*v_{2}   } = 4

Теперь решаем обычное уравнение (раскрываем скобки, убираем дробь и т.д.)

\frac{v_{2}-\frac{6}{5}+v_{2}  }{\frac{6}{5}v_{2}-v_{2}^2   } =4\\\\2v_{2}-\frac{6}{5}=4*(\frac{6}{5}v_{2} -v_{2}^2)

2v_{2}-\frac{6}{5}= \frac{24}{5}v_{2}-4v_{2}^2

2v_{2} -\frac{6}{5}-\frac{24}{5}v_{2} +4v_{2}^2=0

4x_{2}^2 -\frac{14}{5}v_{2}-\frac{6}{5} =0

Домножим уравнение на 5, чтобы избавиться от дроби (смысл уравнения не меняется)

20v_{2}-14v_{2}-6=0

Так же и поделим уравнение на 2, чтобы проще было считать (смысл не меняется) и решаем уравнение

10v_{2}-7v_{2} -3=0\\ D=49+120=169\\\sqrt{D}= 13\\ v_{2;1} = \frac{7+13}{20} =1\\v_{2;2} =\frac{7-13}{20} = -\frac{6}{20}=-\frac{3}{10}

Теперь возвращаемся к v_{1} и просто подставляем значения

v_{1;1}= \frac{6}{5}-1  =\frac{6}{5} -\frac{5}{5}=\frac{1}{5}

v_{1;2}= \frac{6}{5} -(-\frac{3}{10})=\frac{12}{10}+\frac{3}{10}  =\frac{15}{10}=\frac{3}{2}

Ответ (1;\frac{1}{5}), (-\frac{3}{10};\frac{3}{2})

Похожие вопросы
Предмет: Английский язык, автор: Chuxa
22 балла.Нужно выбрать 1 правильный ответ.
1. Найдите слово во множественном числе:
□ cities
□ mans
□ foots
□ bushs
2. Найдите предложение с притяжательным местоимением:
□ Bring Jane her new skirt.
□ Do you like it?
□ I cannot see anybody.
□ Let us go home.
3. Найдите неправильный глагол в прошедшем времени:
□ understand
□ worked
□ wrote
□ sleep
4. Найдите степень сравнения прилагательного:
Health is … than wealth.
□ better
□ gooder
□ well
□ the best
5. Найдите предложение с притяжательным местоимением:
□ Put the copy-books on my table.
□ Have you anything interesting to read?
□ I’m very glad to meet you.
□ I’ve got some interesting books.

6. Найдите степень сравнения прилагательного:
The Russian grammar is … than the English one.
□ the difficultest
□ difficulter
□ more difficult
□ the most difficult
7. Замените подчеркнутое существительное на подходящее местоимение:
My friend is patient and calm.
□ it
□ they
□ he
□ you

8. Вставьте в предложение необходимое местоимение:
Ivanov is present. You can see … at the front desk.
□ he
□ us
□ him
□ her
9. Вставьте в предложение необходимое прилагательное:
William speaks English … than me.
□ better
□ gooder
□ best
□ good
10. Выберите правильный вариант:
Are there … oranges in your shop?
□ any
□ many
□ some
□ much
11. Определите временную форму глагола:
The doctor advised me to stay in bed.
□ Present Simple
□ Past Simple
□ Future Simple
□ Past Perfect

12. Выберите подходящее вопросительное слово:
… is your telephone number?
□ Which
□ Whom
□ What
□ Who

13. Выберите правильный вариант:
I have got … friends.
□ any
□ many
□ some
□ much

14. Выберите необходимый глагол:
Where … you live, Ann?
□ do
□ does
□ have
□ is
15. Вставьте в предложении необходимое прилагательное:
Elbrus is … peak in the Caucasian mountains.
□ higher
□ high
□ the higher
□ the highest
16. Подберите подходящий глагол:
I … my teeth three times yesterday.
□ cleaned
□ danced
□ arrived
□ worked
17. Подберите подходящий глагол:
When I was a child, I … to be a doctor.
□ went
□ drank
□ read
□ wanted

18. Выберите необходимый глагол:
What … your favourite subject?
□ am
□ have
□ is
□ are

19. Выберите предложение с глаголом-связкой to be:
□ I like hot tea.
□ We play games, run and jump at this lesson.
□ The mother has two sons.
□ Are Tom and Bob good football players?

20. Подберите подходящий глагол:
Did they … TV?
□ watches
□ watch
□ watched
□ watching
21. I want to phone Ann. Do you know … phone number?
□ his
□ my
□ her
□ our
22. Sue is … than Tim.
□ older
□ old
□ the oldest
□ more older
23. Поставьте глагол в нужную форму:
She always … here on Sundays.
□ comes
□ came
□ is coming
□ comed
24. She went to the shop to buy a newspaper.
□ Он пошел в магазин за газетой.
□ Она идет в магазин за газетой.
□ Она пошла в магазин за журналом.
□ Она пошла в магазин за газетой.

25. … your brother like football?
□ are
□ do
□ does
□ am

26. How … is it from here to the airport?
□ tall
□ much
□ far
□ often