Предмет: Алгебра, автор: Аноним

плиз даю 50 балов срочно​

Приложения:

Ответы

Автор ответа: Universalka
0

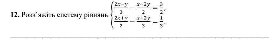
\displaystyle\bf\\\left \{ {{\dfrac{2x-y}{3} -\dfrac{x-2y}{2}=\dfrac{3}{2}  } \atop {\dfrac{2x+y}{2} -\dfrac{x+2y}{3}=\dfrac{1}{3}  }} \right. \\\\\\\left \{ {{\dfrac{2x-y}{3} \cdot 6-\dfrac{x-2y}{2}\cdot 6=\dfrac{3}{2} \cdot 6 } \atop {\dfrac{2x+y}{2} \cdot 6-\dfrac{x+2y}{3}\cdot 6=\dfrac{1}{3}\cdot 6  }} \right. \\\\\\\left \{ {{(2x-y)\cdot 2-(x-2y)\cdot 3=3\cdot 3} \atop {(2x+y)\cdot 3-(x+2y)\cdot 2=2}} \right. \\\\\\\left \{ {{4x-2y-3x+6y=9} \atop {6x+3y-2x-4y=2}} \right.

\displaystyle\bf\\\left \{ {{x+4y=9} \atop {4x-y=2 \ |\cdot 4}} \right. \\\\\\+\left \{ {{x+4y=9} \atop {16x-4y=8}} \right. \\---------\\17x=17\\\\x=1\\\\y=4x-2=4\cdot 1-2=4-2=2\\\\\\Otvet \ : \ (1 \ ; \ 2)

Автор ответа: kurochkaveronika
0

Ответ:

(х , у)=(1,2) вот правильний ответ

Похожие вопросы
Предмет: Алгебра, автор: safonovtimofij