Предмет: Алгебра,
автор: Аноним
Помогите пожалуйста!!
Приложения:
Ответы
Автор ответа:
1
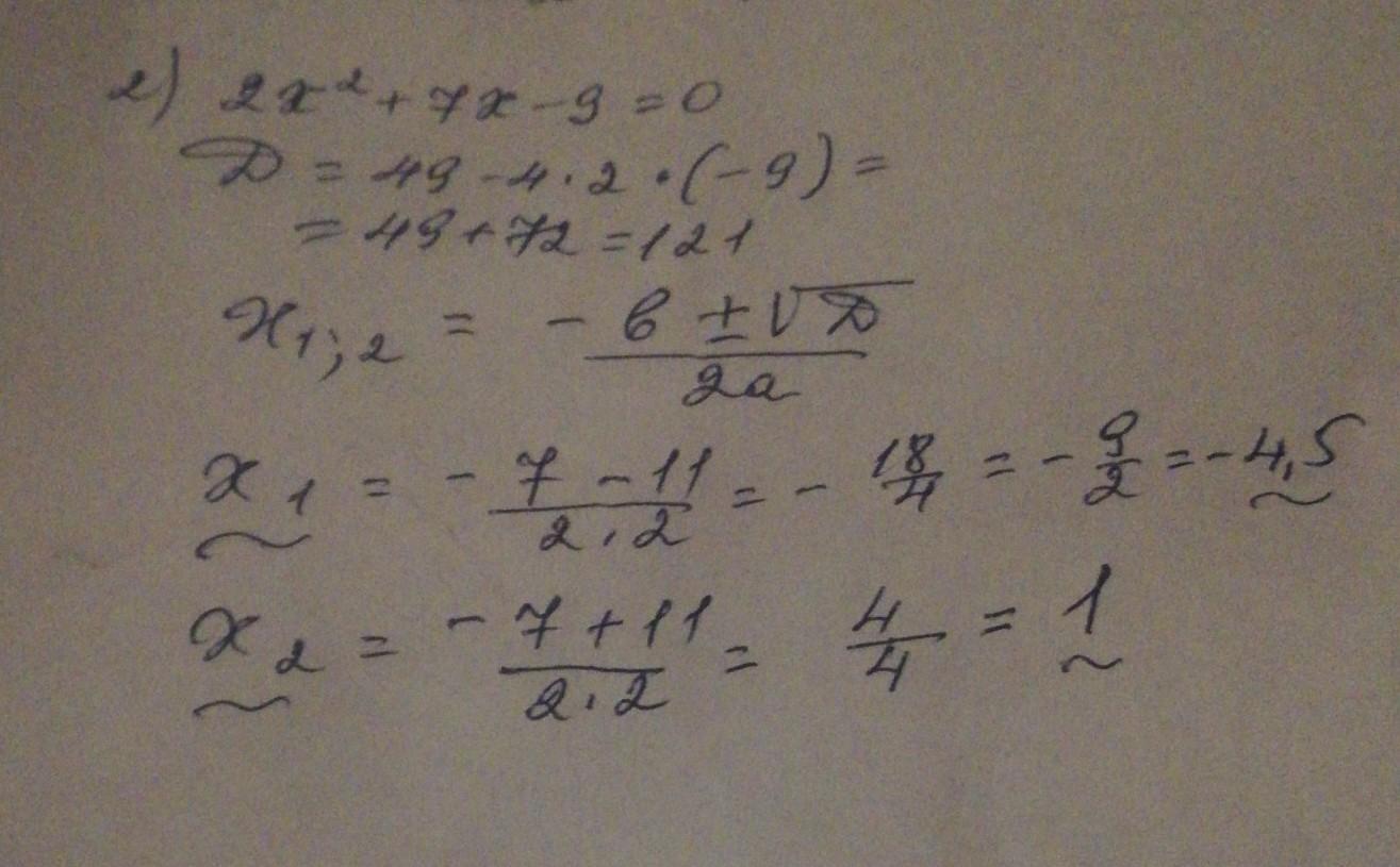
Ответ:
Смотри решение на фото.
Объяснение:
Решила двумя способами!!
Приложения:
larisaserova53:
Выбирай каким решаете в классе!
Похожие вопросы
Предмет: Қазақ тiлi,
автор: madinazhy6
Предмет: Українська мова,
автор: sofiayefimova1981
Предмет: Математика,
автор: tymofiypanin
Предмет: Физика,
автор: Аноним
Предмет: Английский язык,
автор: irynkaz327