Предмет: Математика, автор: mariabelaya17

Знайти частинний розвязок диферанційного рівняння, що задовольняє початкову умову

Приложения:

Ответы

Автор ответа: NNNLLL54
0

Ответ:

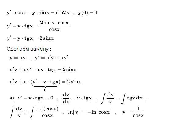
Найти частное решение линейного дифференциального уравнения 1-го порядка .

\bf \displaystyle y'\cdot cosx-y\cdot sinx=sin2x\ \ ,\ \ y(0)=1\\\\y'-y\cdot tgx=\frac{2\, sinx\cdot cosx}{cosx}\\\\y'-y\cdot tgx=2\, sinx  

Cделаем замену :  

  \displaystyle \bf y=uv\ \ ,\ \ y'=u'v +uv'\\\\u'v +uv'-uv\cdot tgx=2\, sinx\\\\u'v+u\cdot (\underbrace{\bf v'-v\cdot tgx}_{0})=2\, sinx\\\\a)\ \ v'-v\cdot tgx=0\ \ ,\ \ \frac{dv}{dx}=v\cdot tgx\ \ ,\ \ \int \frac{dv}{v}=\int tgx\, dx\ \ ,\\\\\int \frac{dv}{v}=\int \frac{-d(cosx)}{cosx}\ \ ,\ \ ln|\, v\, |=-ln|\, cosx\, |\ \ ,\ \ \ v=\frac{1}{cosx}\\\\\\b)\ \ u'v=2\, sinx\ \ ,\ \ \frac{du}{dx}\cdot \frac{1}{cosx}=2\, sinx\ \ ,\ \ \ \int du=\int 2\, sinx\cdot cosx\, dx\ ,  

\bf \displaystyle \int du=\int sin2x\, dx\ \ ,\ \ \ u=-\frac{1}{2}\, cos2x+C\\\\\\c)\ \ y=uv\ \ ,\ \ \ y=\frac{1}{cosx}\cdot \Big(C-\frac{1}{2}\, cos2x\Big)\\\\\\d)\ \ y(0)=1\ \ \Rightarrow \ \ \ y(0)=\frac{1}{cos0}\cdot \Big(C-\frac{1}{2}\, cos0\Big)=1\cdot \Big(C-\frac{1}{2}\Big)\ \ ,\\\\C-\frac{1}{2}=1\ \ ,\ \ C=\frac{3}{2}

Частное решение :   \bf y_{chastn.}=\dfrac{1}{cosx}\cdot \Big(\dfrac{3}{2}-\dfrac{1}{2}\, cos2x\Big)   ,

                                    \bf y_{chastn.}=\dfrac{1}{2\, cosx}\cdot \Big(3-cos2x\Big)     .          

Приложения:
Похожие вопросы