Предмет: Алгебра,
автор: Nua228
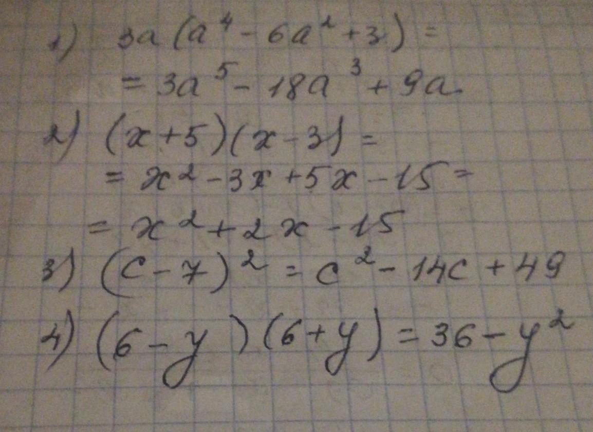
СРОЧНО! Допоможіть будьласка!! Подайте у вигляді многочлена вирази:
1) 3a(а⁴- 6а²+3)
2) (х+5)(х-3)
3) (с-7)²
4) (6-у) (6+у)
Приложения:
Ответы
Автор ответа:
1
Ответ:
Смотри решение на фото...
Приложения:
Похожие вопросы
Предмет: Алгебра,
автор: oksanalinnik20
Предмет: Биология,
автор: anastasiia19499
Предмет: Математика,
автор: w1zexxx
Предмет: Литература,
автор: Аноним
Предмет: Математика,
автор: katjaomelianenko2003