Предмет: Алгебра, автор: dronluv

11 класс , решите пожалуйста !

Приложения:

Ответы

Автор ответа: NNNLLL54
0

Ответ:

Метод подстановки . Обозначаем новой переменной ту функцию, от которой имеется её дифференциал с точностью до константы .

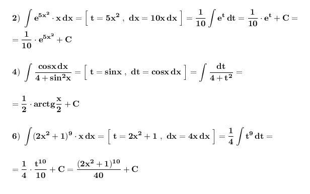
\bf \displaystyle 2)\ \int e^{5x^2}\cdot x\, dx=\Big[\ t=5x^2\ ,\ dx=10x\, dx\ \Big]=\frac{1}{10}\int e^{t}\, dt=\frac{1}{10}\cdot e^{t}+C=\\\\=\frac{1}{10}\cdot e^{5x^2}+C\\\\\\4)\ \int \frac{cosx\, dx}{4+sin^2x}=\Big[\ t=sinx\ ,\ dt=cosx\, dx\ \Big]=\int \frac{dt}{4+t^2}=\\\\\\=\frac{1}{2}\cdot arctg\frac{x}{2}+C\\\\\\6)\ \int (2x^2+1)^9\cdot x\, dx=\Big[\ t=2x^2+1\ ,\ dx=4x\, dx\ \Big]=\frac{1}{4}\int t^9\, dt=\\\\\\=\frac{1}{4}\cdot \frac{t^{10}}{10}+C=\frac{(2x^2+1)^{10}}{40}+C

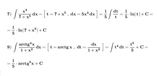
\bf \displaystyle 7)\ \int \frac{x^4}{7+x^5}\, dx=\Big[\ t=7+x^5\ ,\ dx=5x^4\, dx\ \Big]=\frac{1}{5}\int \frac{dt}{t}=\frac{1}{5}\cdot ln|\, t\, |+C=\\\\\\=\frac{1}{5}\cdot ln|\, 7+x^5|+C\\\\\\9)\ \int \frac{arctg^4x}{1+x^2}\, dx=\Big[\ t=arctg\, x\ ,\ dt=\frac{dx}{1+x^2} \ \Big]=\int t^4\, dt=\frac{t^5}{5}+C=\\\\\\=\frac{1}{5}\cdot arctg^5x+C  

Приложения:
Похожие вопросы
Предмет: Биология, автор: arinalomako160
Предмет: Литература, автор: isenbekovaliser59
Предмет: Английский язык, автор: dasha04070
1.Твой отец юрист?
(translate into English)

Your father am lawyer?

Your father lawyer?

Are your father a lawyer?

Is your father a lawyer?


2)Она собирается закончить эту работу за два дня. (translate into English)

She going to finish this work in two days.

She is going to finish this work in two days.

She are going to finish this work in two days.

She am going to finish this work in two days.


3)The dog (to look) at me. (make a sentence in present continuous)

The dog am looking at me.

The dog is looking at me.

The dog are look at me.

The dog do looking at me.


4)Your friends want to move to another flat, ...? (complete the tag question)

Were they

weren’t they

don’t they

do they


5)My father and his friends play football every Saturday.
(make a negative sentence)

My father and his friends not to play football every Saturday.

My father and his friends doesn’t to play football every Saturday.

My father and his friends don’t play football every Saturday.

My father and his friends not play do football every Saturday.


6)Почему они собираются comeback? (translate the underlined part)

Why are they going to

Why they is going to

Who are they going to

When they going to


… don’t want to go home. (insert the right pronoun)

He

Them

Their

They


Есть ли интересные книги в этом магазине? (choose the right translation)

There any interesting books in that shop?

Are there any interesting books in that shop?

Are any interesting books in that shop?

Is there any interesting books in that shop?


My brother and I spend all weekends together. (make a negative sentence)

My brother and I is not spending all weekends together

My brother and I not to spend all weekends together

My brother and I don’t spend all weekends together

My brother and I does not to spend all weekends together


He (not to sing) a song at the moment.
(make a sentence in present continuous)

He are no singing a song at the moment.

He isn’t singing a song at the moment.

He to be not to singing a song at the moment.

He’s not sing a song at the moment.


Сколько у них детей? (translate into English)

How many children do they have?

How many child do they have?

How many childrens do they have?

How many childs do they have?


I’m going to start this project in June. (make a negative sentence)

I’m no goings to start this project in June.

I’m not going to start this project in June.

I don’t going to start this project in June.

I going no to start this project in June.


Your teacher doesn’t want you to translate this text, ...? (complete the tag question)

Do he

Did he

Does he

doesn’t he





My elder brother (to read) an interesting book now.
(Choose: Present Simple or Present Continuous)

My elder brother do reading an interesting book now.

My elder brother are reads an interesting book now.

My elder brother is reading an interesting book now.

My elder brother to reads an interesting book now.