Предмет: Алгебра, автор: Nua228

Допоможіть будь ласка, треба терміново.
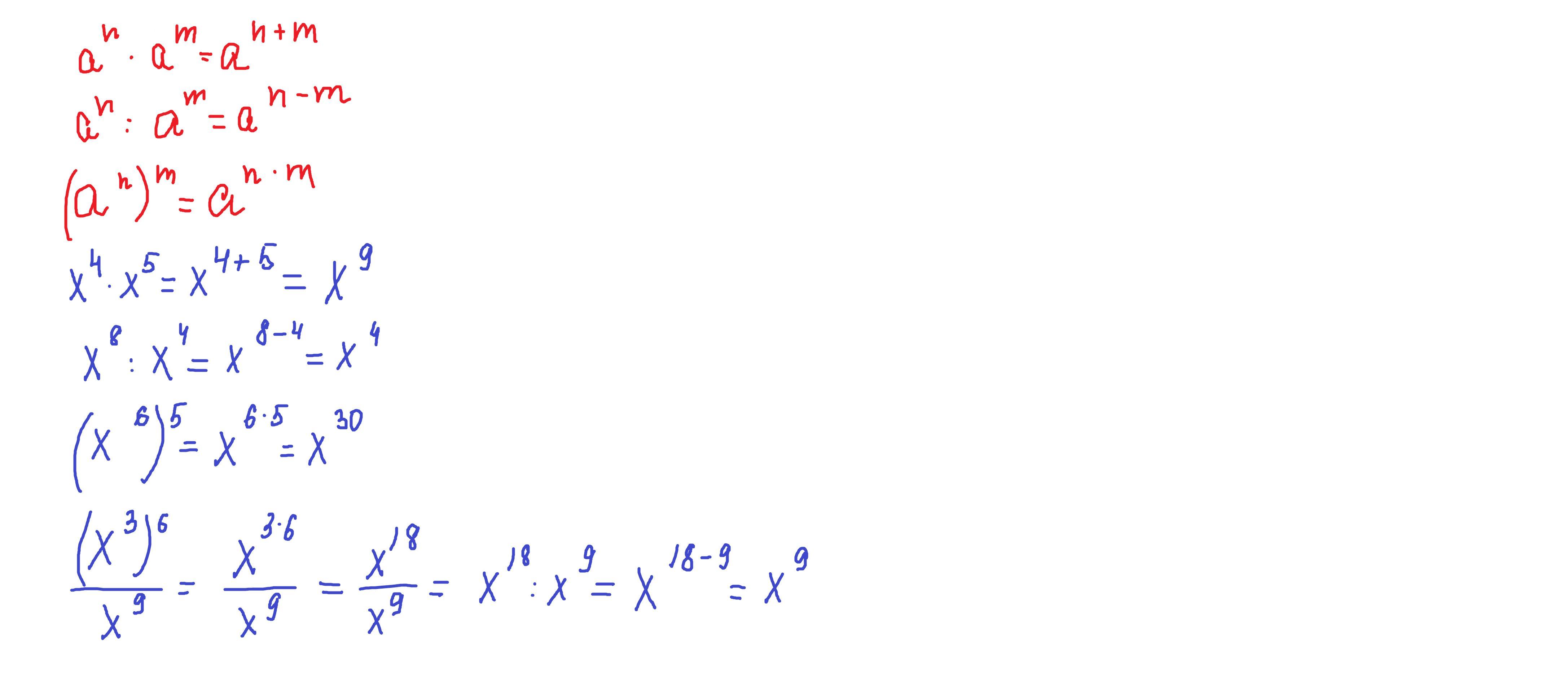
Подайте у вигляді степеня вирази:
1)х⁴*х⁵
2)х⁸:х⁴
3)(х⁶)⁵
4)(х³)⁶
_____
х⁹

Приложения:

Ответы

Автор ответа: parus77
1

Ответ:

Объяснение:

решение и формулы внизу

Приложения:
Похожие вопросы
Предмет: Литература, автор: isenbekovaliser59
Предмет: Английский язык, автор: pogromskayamargarita
Допоможіть будь-ласка скласти план тексту!!! Computers have become a vital part of everyday life. You can find them in business, science, medicine and in schools, and perhaps even at home. A computer is an electronic machine which can be used to store, process and display data. There are many types of computer and among them are: a personal computer (or PC), which can be a desktop with a tower case or a desktop computer with a desktop case, a laptop (that is smaller than a desktop), a notebook (that is like a laptop but is smaller), a subnotebook (that is even smaller) and a handheld computer which is usually called a palmtop. There are embedded computers which are found inside other machines such as

fridges and cars, for example. 2 A computer is just a machine but a computer system consists of two main elements: the machine and programmes, or hardware and software.

'Hardware' refers to thephysical components of the system. These components are mechanical and electronic.

3 The central idea of a computing system is that input is processed into output. Input is the data which is entered into the computer, and output is the result of processing done by the computer, usually printed out or displayed on the screen. Different computer systems can be called computer platforms.

COMMUNICATION TECHNOLD

4 The potential uses of computers are infinite'. We can mention some of the most common current uses of computers in everyday life: personal, educational and commercial.

5 People use the Internet to explore their personal hobbies and interests, to find information, to access goods and services, such as booking a holiday or a flight, ordering books and DVDs or doing their banking online. Computer users make contacts and keep in touch with people all over the world using email or Internet telephony, send photos to family and friends through email attachments. In the world of leisure, computer games and multimedia (audio or video) are very popular. Many Internet users actually add to the Internet by making their own homepages using HTML, the language which allows to create web pages. Other users write and publish blogs. A blog is a website where a user creates and regularly updates a journal that reflects the views of the writer. Internet users may also enjoy making their own podcasts for others to download and enjoy photos, music and video.

6 In schools and universities students use wordprocessing programmes to write essays and projects, presentations and databases. The Internet is also an important educational tool, and is used in distance learning. Online learning is popular, it uses the Internet as a medium for instructions and educational development. A Virtual Learning Environment (VLE) is a software system designed to help teachers in the management of educational courses for their students by creating a virtual classroom. It is a virtual place on the Internet where teachers and students can meet and use electronic learning tools such as videoconferences, online classrooms, whiteboards, chat rooms and so on.

7 E-commerce (business conducted on the Internet) is becoming an ever more important part of our lives. Through its website, a company can offer computer users the opportunity to order and pay for goods and services using their credit cards on the Internet. Graphics and desktop publishing (DTP) programmes are important tools in professions

'enfinite infat] - нескінченний, безмежнийsuch as publishing and advertising. Companies can also use computer- assisted design (CAD) programmes to design and test new products without building a working model. Computers enable users to make notes, arrange appointments and index details of business contacts. Computers reduce the amount of paper used in an office.

8 There are many career choices in your future that cannot be available without computer skills. The growing use of computers increases the need for employees with computer knowledge and training. If you are a computer literate person the career opportunities are limitless for you.
Предмет: Английский язык, автор: dasha04070
1.Твой отец юрист?
(translate into English)

Your father am lawyer?

Your father lawyer?

Are your father a lawyer?

Is your father a lawyer?


2)Она собирается закончить эту работу за два дня. (translate into English)

She going to finish this work in two days.

She is going to finish this work in two days.

She are going to finish this work in two days.

She am going to finish this work in two days.


3)The dog (to look) at me. (make a sentence in present continuous)

The dog am looking at me.

The dog is looking at me.

The dog are look at me.

The dog do looking at me.


4)Your friends want to move to another flat, ...? (complete the tag question)

Were they

weren’t they

don’t they

do they


5)My father and his friends play football every Saturday.
(make a negative sentence)

My father and his friends not to play football every Saturday.

My father and his friends doesn’t to play football every Saturday.

My father and his friends don’t play football every Saturday.

My father and his friends not play do football every Saturday.


6)Почему они собираются comeback? (translate the underlined part)

Why are they going to

Why they is going to

Who are they going to

When they going to


… don’t want to go home. (insert the right pronoun)

He

Them

Their

They


Есть ли интересные книги в этом магазине? (choose the right translation)

There any interesting books in that shop?

Are there any interesting books in that shop?

Are any interesting books in that shop?

Is there any interesting books in that shop?


My brother and I spend all weekends together. (make a negative sentence)

My brother and I is not spending all weekends together

My brother and I not to spend all weekends together

My brother and I don’t spend all weekends together

My brother and I does not to spend all weekends together


He (not to sing) a song at the moment.
(make a sentence in present continuous)

He are no singing a song at the moment.

He isn’t singing a song at the moment.

He to be not to singing a song at the moment.

He’s not sing a song at the moment.


Сколько у них детей? (translate into English)

How many children do they have?

How many child do they have?

How many childrens do they have?

How many childs do they have?


I’m going to start this project in June. (make a negative sentence)

I’m no goings to start this project in June.

I’m not going to start this project in June.

I don’t going to start this project in June.

I going no to start this project in June.


Your teacher doesn’t want you to translate this text, ...? (complete the tag question)

Do he

Did he

Does he

doesn’t he





My elder brother (to read) an interesting book now.
(Choose: Present Simple or Present Continuous)

My elder brother do reading an interesting book now.

My elder brother are reads an interesting book now.

My elder brother is reading an interesting book now.

My elder brother to reads an interesting book now.