Предмет: Математика, автор: bananfan5656

Срочно пожалуйста сделайте

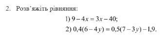
Приложения:

Ответы

Автор ответа: xmrgrtx
0

Ответ:

можно лучший ответ,солнце?

Приложения:
Похожие вопросы
Предмет: Химия, автор: tanerovvs
1. Рассчитайте объем кислорода, необходимого для сжигания 0,05 моль метана.
А-0,1 моль Б-2,24 моль
С-0,5 л Д-4,48 л
2. Вещества, имеющие формулы: 2-метилбутан, бутан, 2,2-диметилпропан являются:
А- гомологами Б- изомерами
С- изотопами Д- алкенами
3. Дайте названия изомерам: СН3-СНС1-СН2-СН2С1 и СН3-СН2-СС12-СН3
А- дихлорбутан Б- дихлорпентан
С-1,3 и 2,2-дихлорбутаны Д- 2,4 и 2,2- дихлорбутаны
4. Какой из перечисленных реагентов пригоден для того, чтобы отличить этилен от
ацетилена.
А-КМnО4 Б-Вr2
С- I2 Д-Ag2O
5. Целлюлоза относится к
А- углеводам, дисахаридам Б- углеводам, моносахаридам
С- углеводам, полисахаридам Д- сложным эфирам
6. Какие из органических соединений способны выделять серебро из его соединений
А- крахмал Б- целлюлоза
С- толуол Д- глюкоза
7. Продукты взаимодействия глицерина и жирных кислот называются:
А- сложными эфирами Б- глицеридами
С- триглицеридами Д- все перечисленные выше названия
8. Схема: RCOOH + ROH=RCOOR1+ H2O отражает суть реакции:
А- этерификации Б- дегидратации
С- гидролиза Д- полимеризации
9. Из перечисленных веществ выберите формулу кислоты
А-СН3-СН2О Б-С3Н6О
С-СН3ОН Д- СН3СООН
10. При окислении 15 г формальдегида гидроксидом меди (II) получается
А- 2,2 г этановой кислоты Б-11 г уксусной кислоты
С- 23 г муравьиной кислоты Д- 23 г уксусной кислоты.
11. Альдегиды- это соединения, содержащие функциональную группу
A-RCOOH Б-RCOH
С-ROH Д-RNO2
2. Основным источником природного газа является:
А- метил Б- этан С- пропан Д- метан
13. Из 30 моль ацетилена образуется.....бензола (100 % выход)
А-78 г Б-390 г С-780 г Д-2340 г
14. Стирол относится к углеводородам
А- предельным Б- ароматическим
С- непредельным Д- диеновым
15. Бутен-1 реагирует с бромоводородом. Укажите, какая реакция проходит
преимущественно
А- СН2=СН-СН2-СН3 + НВг = СН2Вг- СН2-СНГСН3
Б- СН2=СН-СН2-СН3 + НВг = СН3- СНВг-СН2-СН3
С- СН3-СН=СН-СН3 + НВг = СНз-СНВг-СН2-СН3
16. Сожгли 3,2 г органического вещества, плотность паров по водороду которого равна
16. При реакции получено 2,24 л углекислого газа и 3,6 г воды. Определите формулу
вещества.
А-С2Н5ОН Б-СН3О С-СНзОН Д-С3Н7ОН
17. В молекуле какого углеводорода содержится в 6 раз больше атомов водорода, чем в
молекуле этана
А- этан Б- бутан С- пентан Д- гексан
18. Составу С5Н10 соответствует.....изомеров
А-5 Б-6 С-7 Д-3
19. Формула стеариновой кислоты
А- СН3-(СН2)13-СООН
Б- СН3-(СН2)14-СООН
С- СН3-(СН2)15-СООН
Д- СН3-(СН2)16-СООН
20 Из растительного масла в промышленности получают маргарин реакцией
А- гидрогенизации Б- омыления
С- гидрирования Д- этерификации
Предмет: Математика, автор: mimimi9033