Предмет: Алгебра, автор: bellorinkaa

срочноооо пожалуйста ​

Приложения:

Ответы

Автор ответа: artem103990
0

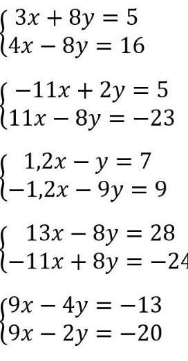
1-вое- (3 ; 0,5)

2-е - ( -1 ; 3)

3-е - (1 ;1,5 )

4-е - (2 ; 6)

5-е - (3 ;3,5)

Похожие вопросы
Предмет: Физика, автор: sofiarubchenko2011
Предмет: Українська мова, автор: ilkiso2010
Випишіть із тексту 10 словосполучень (5 іменних, 5 дієслівних) і розберіть (як у класній роботі) Ще один осінній дар Жодній іншій порі не присвячено стільки поетичних рядків та живописних полотен. Золотою осінь називають не лише завдяки зміні кольорів у природі. Так її називають за внутрішню суть. Адже властиву цій порі благодать відчуваєш у всьому. Саме восени припасали на довгу зиму цілющі плоди й коріння. На жаль, сучасне покоління про лікувальне значення осінніх дарів знає небагато. Взяти хоча б звичайну горобину. Традиційно це дерево є окрасою наших лісів, парків, доріг. Наші предки не знали вмісту вітамінів у її ягодах, але висушені й розмелені ягоди домішували до страви. Пізніше було доведено, що горобина лікує авітаміноз. Такими домішками і тепер лікують склероз. Відваром або соком ягід лікують слабкий зір. Щодня приймаючи свіжий сік, можна запобігти захворюванням шлунку. Сьогодні ми лише осягаємо початки народної медицини