Предмет: Алгебра,
автор: ganfnaf8
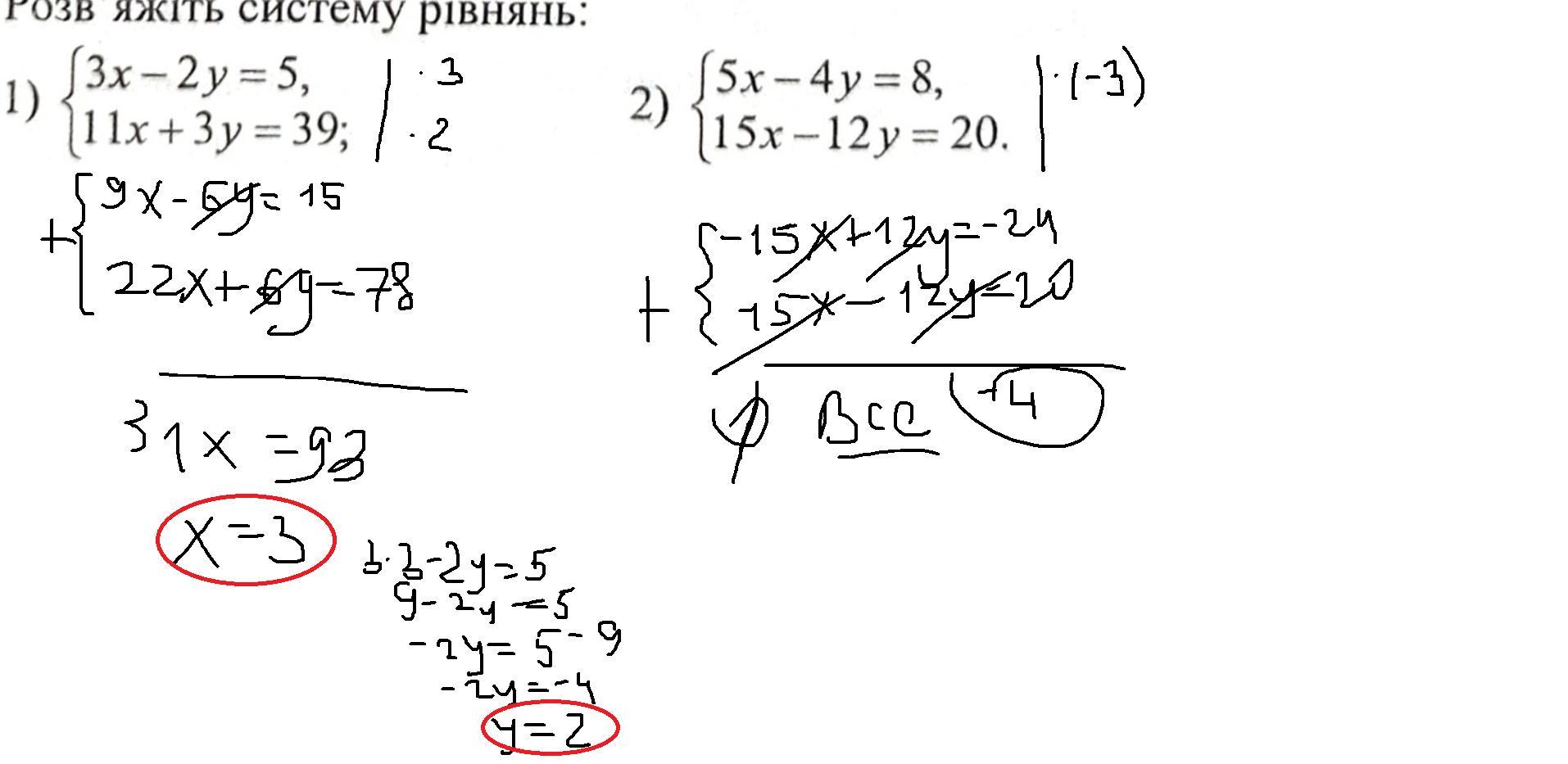
Допоможіть, всі деталі на фото
Приложения:
Ответы
Автор ответа:
0
Відповідь:
на фото
Пояснення:
БУВ РАДИЙ ВАМ ДОПОМОГТИ
Наперед дякую вам за ♛
Приложения:
Похожие вопросы
Предмет: Информатика,
автор: eleonoraborubaeva
Предмет: Українська література,
автор: angel031222
Предмет: Русский язык,
автор: florixxx777
Предмет: Химия,
автор: grigoryanmushegh1
Предмет: Математика,
автор: evgenijzhdanov2000