Предмет: Алгебра,
автор: ermekjanel007
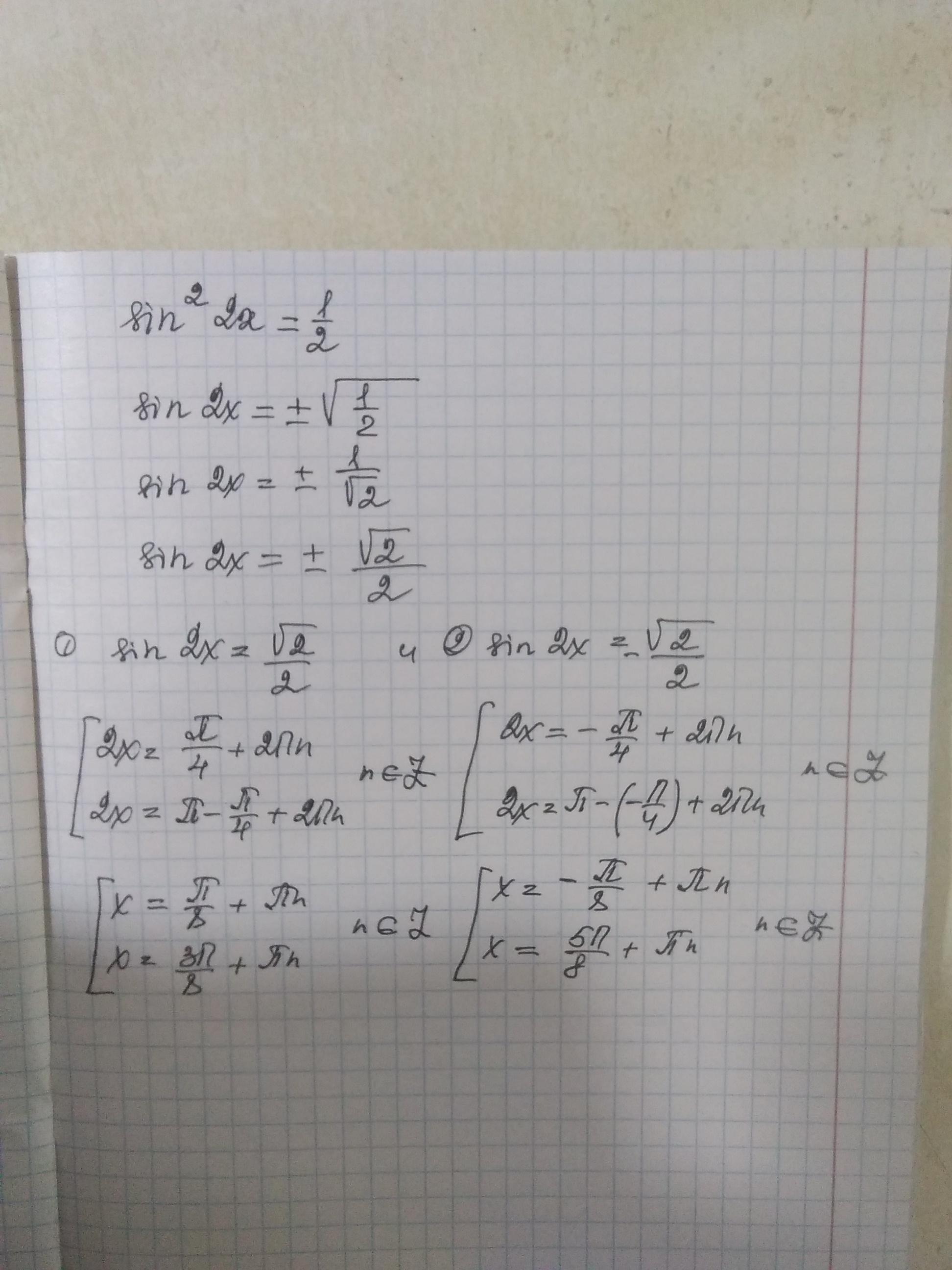
sin²2x=1/2
пожалуйстаа можноо по быстрее
DK954:
Ответ: x = (-1)^n * п/8 + пn/2 , n∈Z
Ответы
Автор ответа:
1
Смотри................
Приложения:
Похожие вопросы
Предмет: Физика,
автор: Vikysfikyss
Предмет: География,
автор: abobusbebrus824
Предмет: Українська мова,
автор: martapolishuk2009
Предмет: Русский язык,
автор: natavolkova90