Предмет: Алгебра,
автор: anystars04
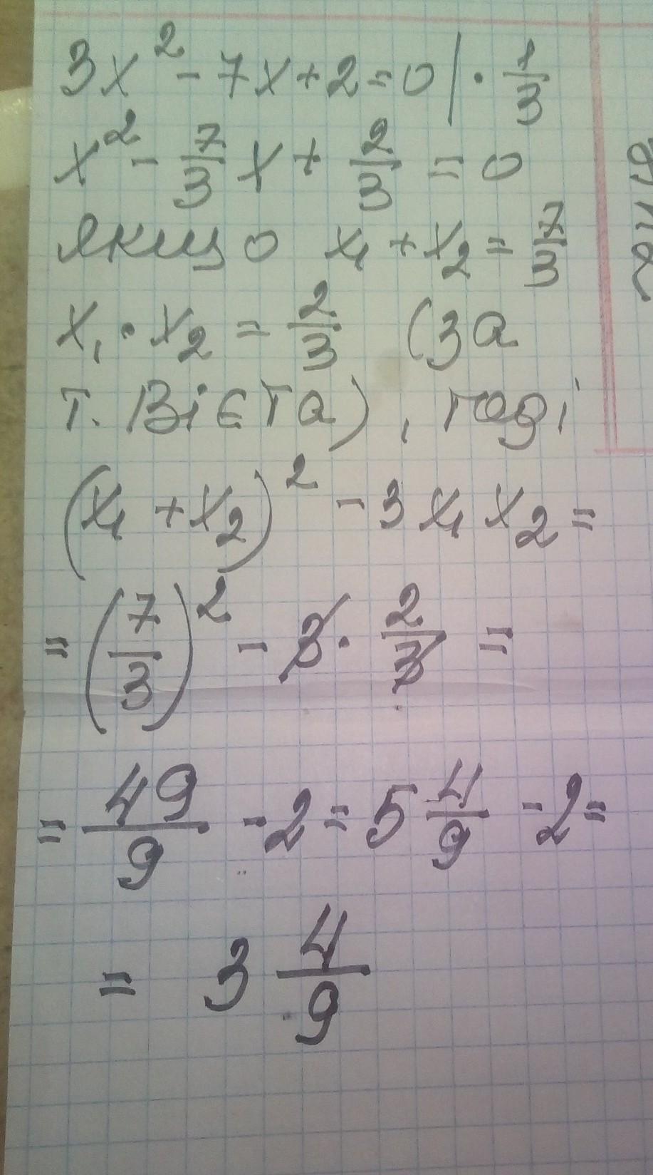
11.Не розв'язуючи рівняння, знайдіть значення виразу (x1 + x2)² - 3x1X2, якщо х, та х2 - корені рівняння: 3x² - 7x + 2 = 0.
Ответы
Автор ответа:
0
Ответ:
решение смотри на фотографии
Приложения:
Похожие вопросы
Предмет: Українська мова,
автор: AdimNirus
Предмет: Математика,
автор: fatyahaciyeva01
Предмет: Химия,
автор: polinchen28
Предмет: Геометрия,
автор: Аноним